Open Access

Fig. 1.

image

Download original image

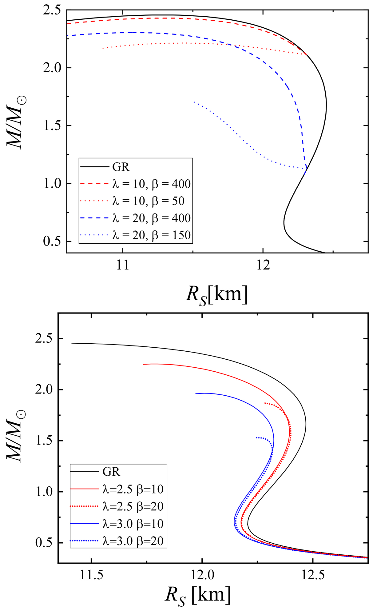
Mass of radius relation for sequences of neutron stars with the MPA1 EoS in sGB gravity. The theory parameters were chosen to demonstrate the different types of branch behavior and their influence on the maximum mass. Top: Gauss-Bonnet gravity with scalarization (coupling function fSS1). Bottom: EdGB gravity (coupling function fEdGB1).

Current usage metrics show cumulative count of Article Views (full-text article views including HTML views, PDF and ePub downloads, according to the available data) and Abstracts Views on Vision4Press platform.

Data correspond to usage on the plateform after 2015. The current usage metrics is available 48-96 hours after online publication and is updated daily on week days.

Initial download of the metrics may take a while.