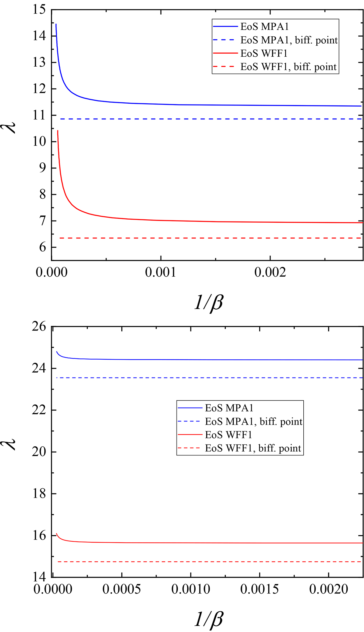
Fig. 2.

Download original image
Constraints on sGB gravity admitting scalarization, obtained from the orbital decay rate of J0348+0432 for two EoSs (depicted with solid lines). The dashed line denotes the threshold value of λ below which scalarized solutions exist only for neutron star masses above the pulsar one, and thus no constraints can be imposed. This limit is related to the bifurcation points in the top panel of Fig. 1 and is independent of β. Top: coupling function Eq. (14). Bottom: coupling function Eq. (15).
Current usage metrics show cumulative count of Article Views (full-text article views including HTML views, PDF and ePub downloads, according to the available data) and Abstracts Views on Vision4Press platform.
Data correspond to usage on the plateform after 2015. The current usage metrics is available 48-96 hours after online publication and is updated daily on week days.
Initial download of the metrics may take a while.