Fig. 5.

Download original image
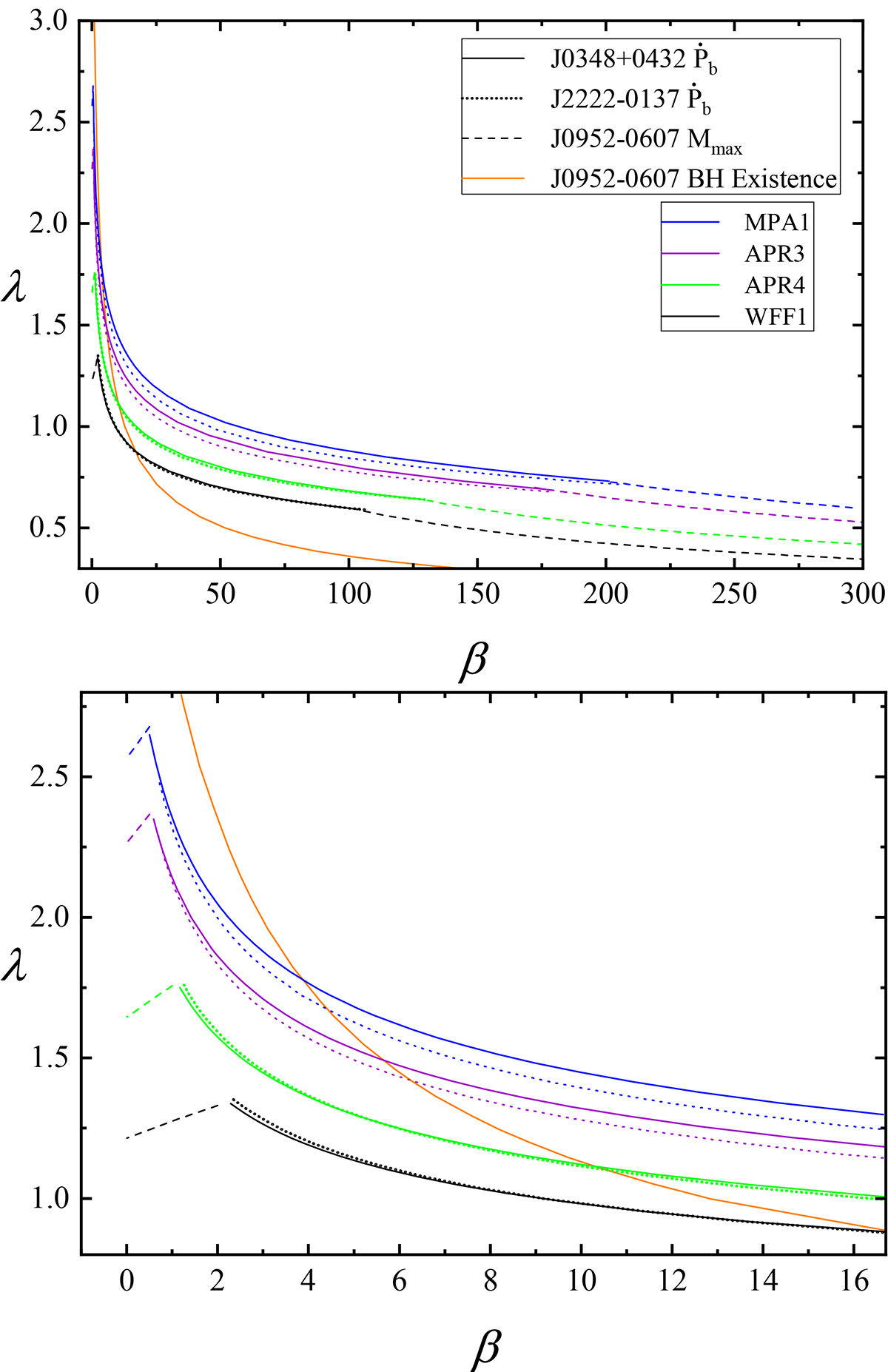
Constraints on the parameters λ and β, based on two constraining methods, using different types of observational data and for four different EoSs. Results from the orbital decay for both J0348+0432 and J2222−0137 are presented for all four EoSs. The EdGB theory with coupling Eq. (12) is considered. In addition, the orange line marks the constraints coming from the existence of minimum mass black hole. Top: wide β range plot. Bottom: zoom-in of the constraints for small values of β.
Current usage metrics show cumulative count of Article Views (full-text article views including HTML views, PDF and ePub downloads, according to the available data) and Abstracts Views on Vision4Press platform.
Data correspond to usage on the plateform after 2015. The current usage metrics is available 48-96 hours after online publication and is updated daily on week days.
Initial download of the metrics may take a while.