Open Access
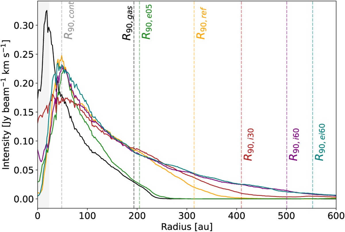
Fig. 12

Download original image
Azimuthally averaged radial profile of the 12CO intensity for the observations and the simulations. The vertical dashed lines indicate the R90% radius for the continuum, the gas emission, and the synthetic observations. The shaded grey area corresponds to the major axis of the synthesised beam.
Current usage metrics show cumulative count of Article Views (full-text article views including HTML views, PDF and ePub downloads, according to the available data) and Abstracts Views on Vision4Press platform.
Data correspond to usage on the plateform after 2015. The current usage metrics is available 48-96 hours after online publication and is updated daily on week days.
Initial download of the metrics may take a while.