Open Access
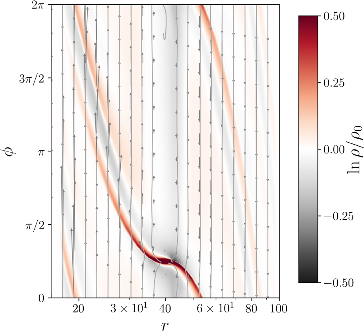
Fig. 4

Download original image
Midplane flow pattern in our disk, in the corotating frame of the planet. Streamlines proceed from bottom to top inside the planet radius rp = 40 au, and from top to bottom outside the planet radius.
Current usage metrics show cumulative count of Article Views (full-text article views including HTML views, PDF and ePub downloads, according to the available data) and Abstracts Views on Vision4Press platform.
Data correspond to usage on the plateform after 2015. The current usage metrics is available 48-96 hours after online publication and is updated daily on week days.
Initial download of the metrics may take a while.