Fig. 8

Download original image
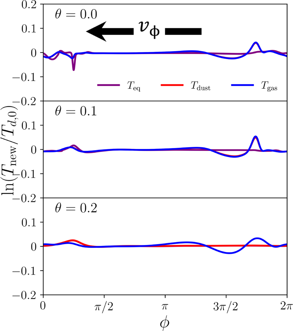
Background equilibrium, gas, and dust temperatures in our 3T, Saturn-mass simulations at selected altitudes above the midplane for a fixed r = 1.5rp. Background temperatures deviate by only a few percent from the initial condition, most strongly in the region of the planetary shadow (ϕ ≈ π/4) and somewhat more weakly near the Lindblad spiral. Td agrees well with Tg at θ = 0.0 and 0.1 (and is covered by the line for Tg), and with Teq at θ = 0.2 (covering the line for Teq).
Current usage metrics show cumulative count of Article Views (full-text article views including HTML views, PDF and ePub downloads, according to the available data) and Abstracts Views on Vision4Press platform.
Data correspond to usage on the plateform after 2015. The current usage metrics is available 48-96 hours after online publication and is updated daily on week days.
Initial download of the metrics may take a while.