Fig. 10

Download original image
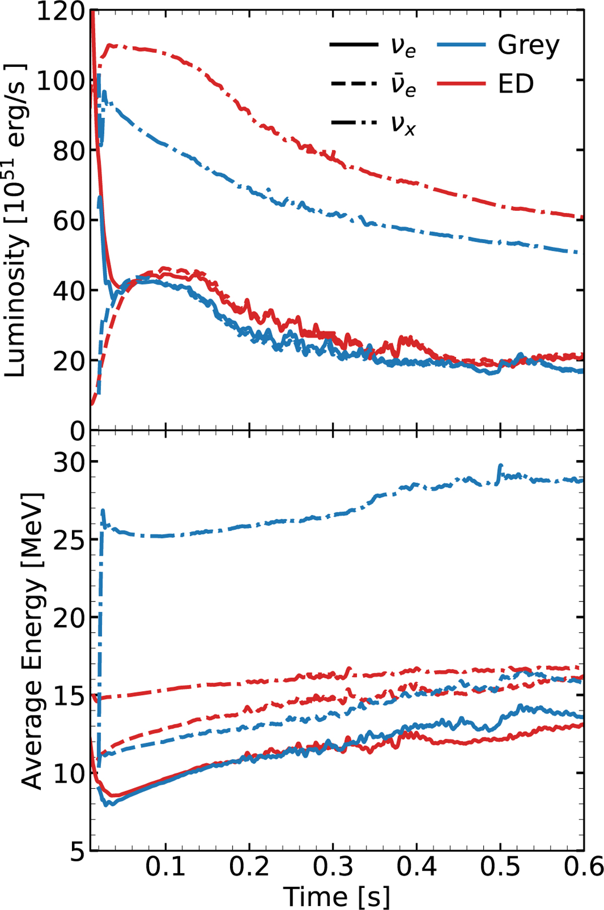
Neutrino luminosities (top panel) and average energies (bottom panel) from two simulations of the s12 progenitor. The red lines indicate the results from the simulation with energy-dependent neutrino transport. The blue lines show the results from the simulation performed with our gray neutrino transport. The solid lines indicate electron neutrinos, dashed lines show electron anti-neutrinos, and dot-dashed lines correspond to heavy-lepton neutrinos.
Current usage metrics show cumulative count of Article Views (full-text article views including HTML views, PDF and ePub downloads, according to the available data) and Abstracts Views on Vision4Press platform.
Data correspond to usage on the plateform after 2015. The current usage metrics is available 48-96 hours after online publication and is updated daily on week days.
Initial download of the metrics may take a while.