Fig. 5

Download original image
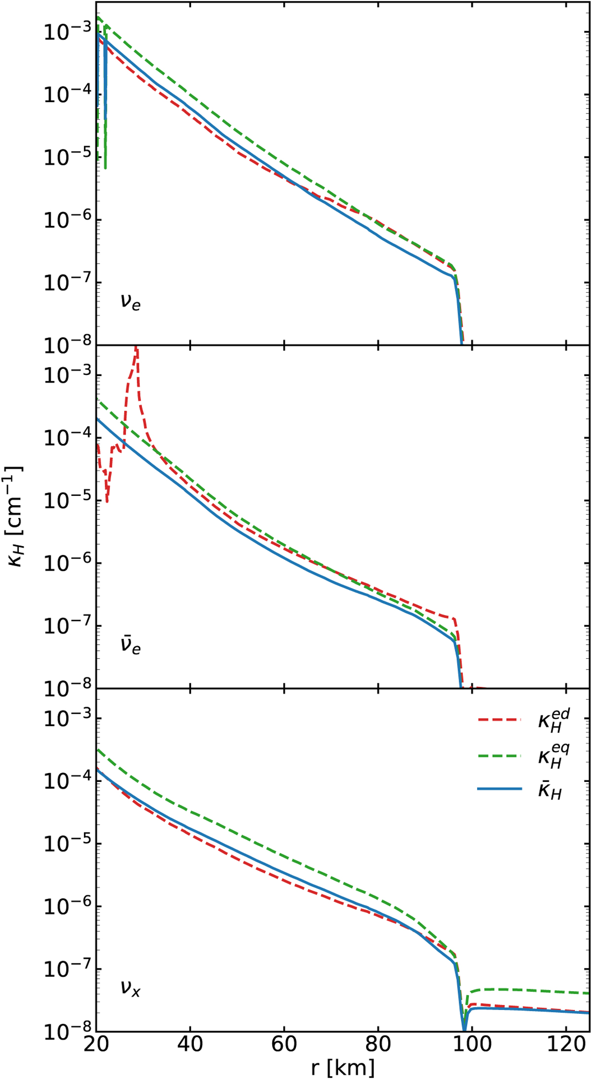
Sum of the energy-averaged absorption and energy-averaged scattering opacities as a function of radius for a hydrostatic simulation of a 30 solar mass progenitor using the SFHo EOS. The dashed red lines show the opacities calculated with the neutrino spectrum from the energy-dependent neutrino transport (Eq. (30)). The dashed green lines show the opacities calculated according to Eq. (19). The blue lines represent the value according to Eq. (33). The panels show results for electron neutrinos (top), electron anti-neutrinos (middle), and heavy-lepton neutrinos (bottom). The opacities for the heavy-lepton neutrinos refer to effective opacities, which incorporate pair-production processes in a simplified way.
Current usage metrics show cumulative count of Article Views (full-text article views including HTML views, PDF and ePub downloads, according to the available data) and Abstracts Views on Vision4Press platform.
Data correspond to usage on the plateform after 2015. The current usage metrics is available 48-96 hours after online publication and is updated daily on week days.
Initial download of the metrics may take a while.