Fig. 6

Download original image
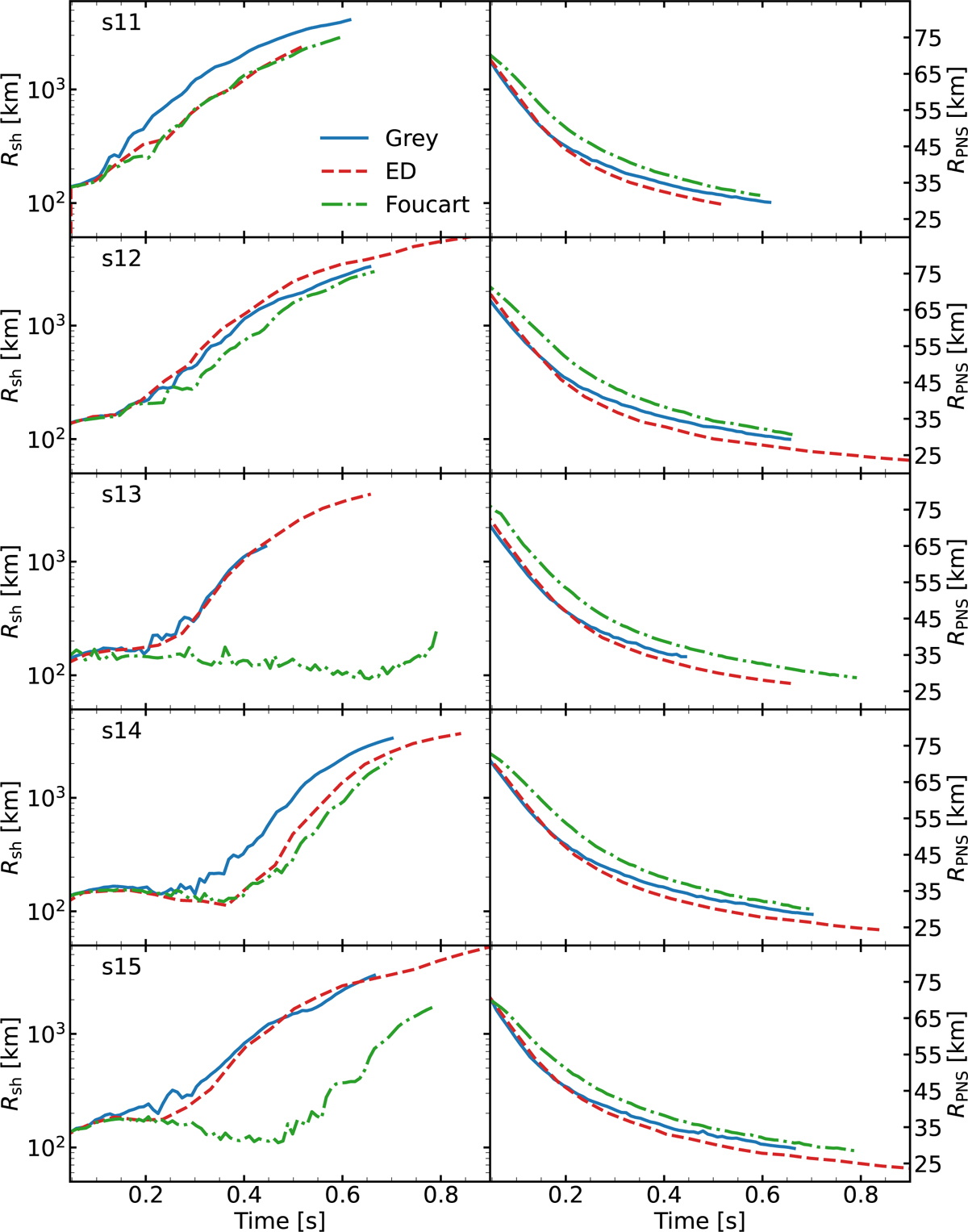
Average shock radius (left column) and the PNS radius (right column) for simulations based on five progenitors with ZAMS masses of 11, 12, 13, 14, and 15 solar masses. We performed three simulations for each progenitor, using different neutrino transport methods. The dashed red line corresponds to simulations with fully energy-dependent transport, the green lines indicates simulations using the gray scheme of Foucart et al. (2016), and the blue lines show results from simulations using the gray transport proposed in this work. Each row corresponds to a given progenitor; the progenitor model is indicated in the top left corner of each row. The simulations were performed with the SFHo EOS.
Current usage metrics show cumulative count of Article Views (full-text article views including HTML views, PDF and ePub downloads, according to the available data) and Abstracts Views on Vision4Press platform.
Data correspond to usage on the plateform after 2015. The current usage metrics is available 48-96 hours after online publication and is updated daily on week days.
Initial download of the metrics may take a while.