Fig. 1.

Download original image
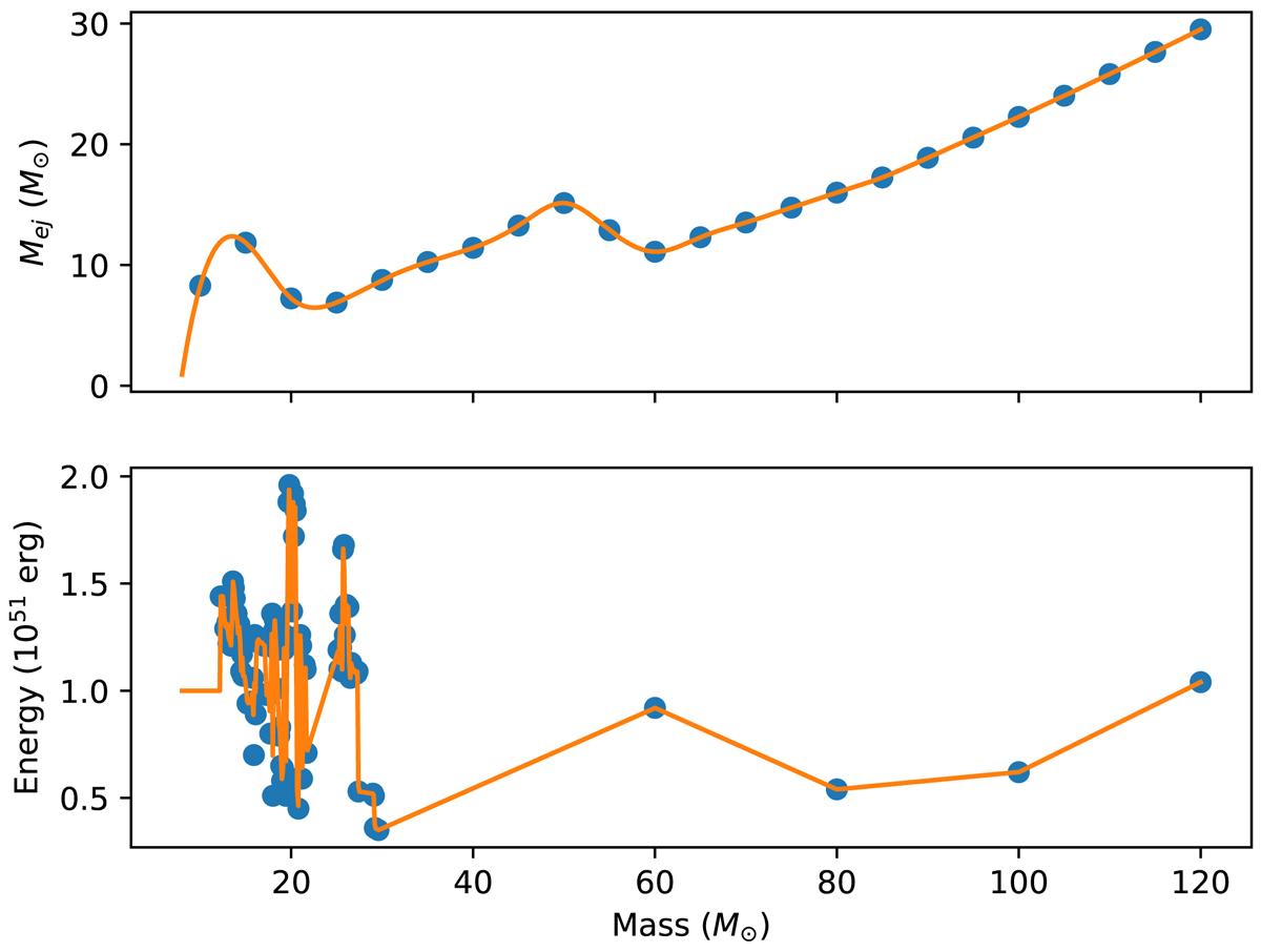
Relation between zero-age main-sequence mass and ejecta mass of non-rotating core-collapse supernova progenitors at solar metallicity in the GENEVA library (Ekström et al. 2012) and the relation between the zero-age main-sequence mass and the explosion energy (Sukhbold et al. 2016). The blue dots show the calculated points, while the orange lines show the interpolation between them.
Current usage metrics show cumulative count of Article Views (full-text article views including HTML views, PDF and ePub downloads, according to the available data) and Abstracts Views on Vision4Press platform.
Data correspond to usage on the plateform after 2015. The current usage metrics is available 48-96 hours after online publication and is updated daily on week days.
Initial download of the metrics may take a while.