Fig. 10.

Download original image
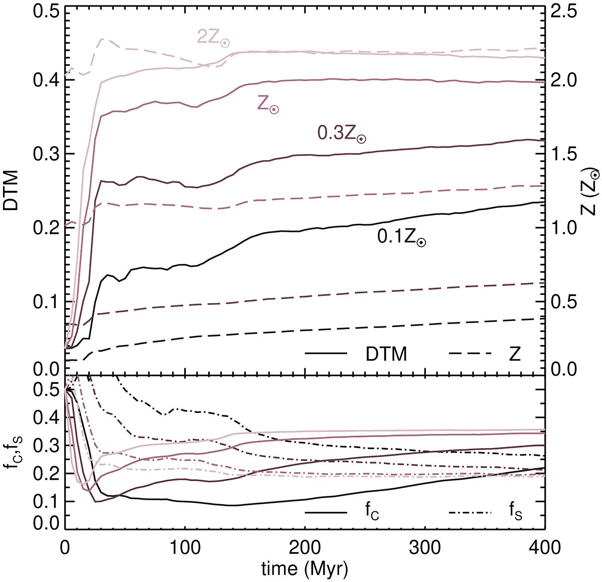
Top panel: dust-to-metal ratio (solid lines, left axis) and gas metallicity (dashed lines, right axis) as a function of time for the 4 different initial metallicities of the G10LG galaxy: 0.1, 0.3, 1, and 2 Z⊙ (from bottom to top). Bottom panel: fraction of carbonaceous grains (solid lines) and of small grains (dot-dashed lines). The DTM increases with metallicity, the fraction of carbonaceous grains increases with metallicity and the fraction of small grains decreases with metallicity.
Current usage metrics show cumulative count of Article Views (full-text article views including HTML views, PDF and ePub downloads, according to the available data) and Abstracts Views on Vision4Press platform.
Data correspond to usage on the plateform after 2015. The current usage metrics is available 48-96 hours after online publication and is updated daily on week days.
Initial download of the metrics may take a while.