Fig. 14.

Download original image
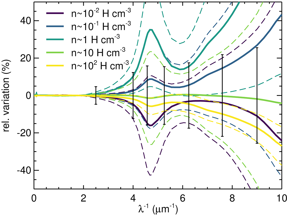
As Fig. 6 for the G10LG_csf simulation that has faster coagulation and shattering rates with respect to the fiducial G10LG simulation. There is more diversity in extinction curves across gas density compared to the fiducial run. The error bars stand for the scatter of the observed extinction curves of the Milky Way from Fitzpatrick & Massa (2007) relative to the mean extinction curve from Pei (1992).
Current usage metrics show cumulative count of Article Views (full-text article views including HTML views, PDF and ePub downloads, according to the available data) and Abstracts Views on Vision4Press platform.
Data correspond to usage on the plateform after 2015. The current usage metrics is available 48-96 hours after online publication and is updated daily on week days.
Initial download of the metrics may take a while.