Open Access
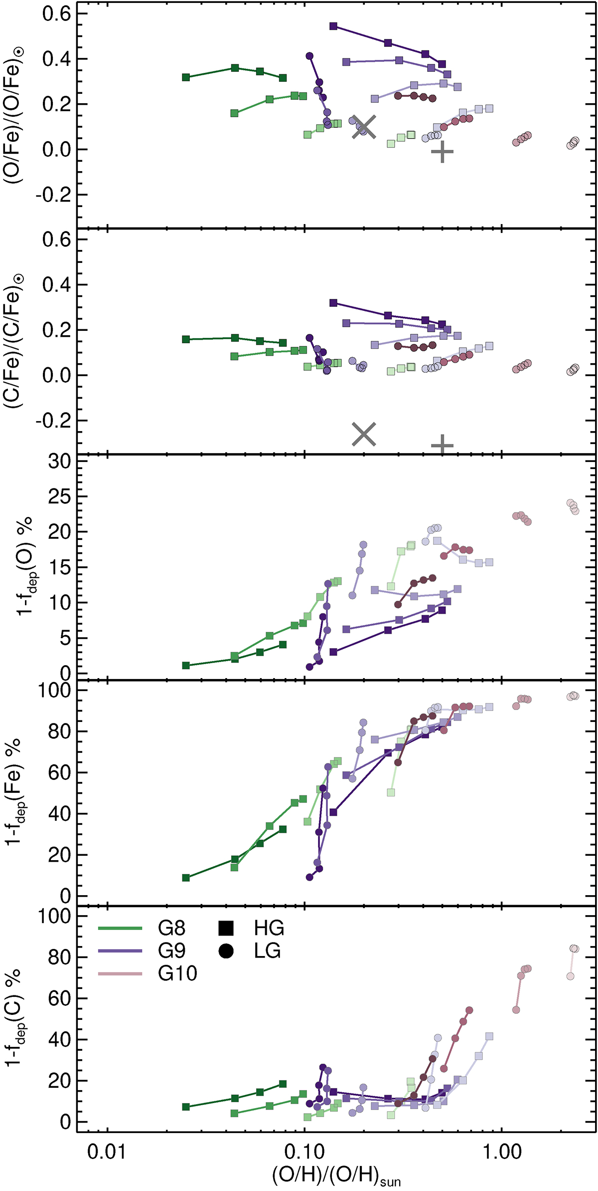
Fig. 17.

Download original image
Depletion factors for O (top panel), Fe (middle panel) and C (bottom panel) for the different simulations at different times. Similar symbol and color coding as in Fig. 16. Values of abundances and metallicities in SMC and LMC are taken from the compilation of data in Roman-Duval et al. (2022).
Current usage metrics show cumulative count of Article Views (full-text article views including HTML views, PDF and ePub downloads, according to the available data) and Abstracts Views on Vision4Press platform.
Data correspond to usage on the plateform after 2015. The current usage metrics is available 48-96 hours after online publication and is updated daily on week days.
Initial download of the metrics may take a while.