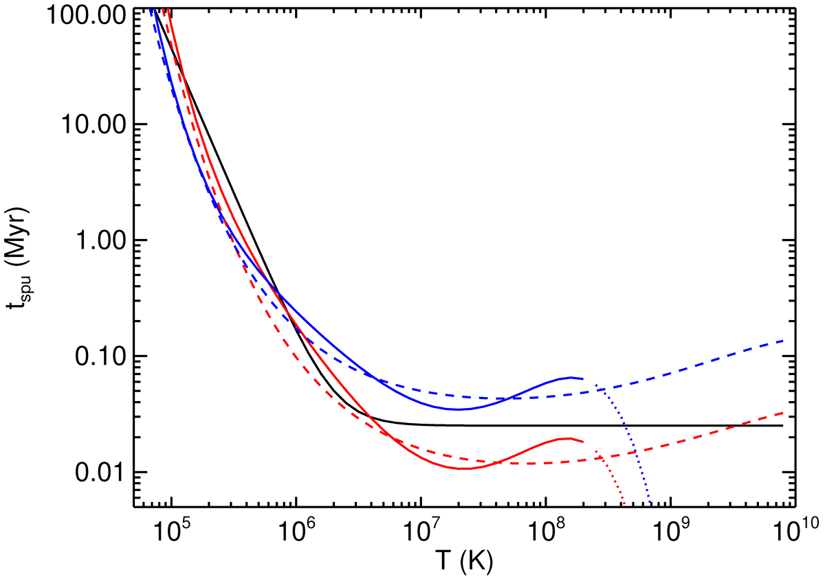
Fig. C.1.

Download original image
Sputtering time as a function of temperature for a gas density of n = 1 H cm−3 and a grain size of a = 0.1 μm. In red and blue solid and dotted are the results of Tielens et al. (1994) for respectively Si and C grains using their fitting functions valid up to T ≃ 2 × 108 K. The black line is the fitting formula from Tsai & Mathews (1995). The red and blue dashed lines are the fitting formulas for respectively Si and C grains from Hu et al. (2019).
Current usage metrics show cumulative count of Article Views (full-text article views including HTML views, PDF and ePub downloads, according to the available data) and Abstracts Views on Vision4Press platform.
Data correspond to usage on the plateform after 2015. The current usage metrics is available 48-96 hours after online publication and is updated daily on week days.
Initial download of the metrics may take a while.