Fig. D.1.

Download original image
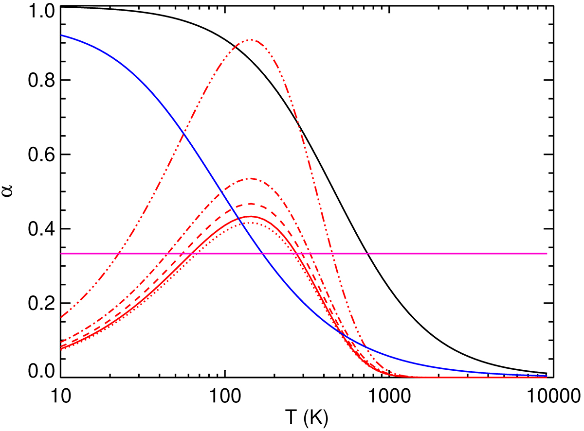
Sticking coefficient for gas accretion onto dust as a function of the gas temperature T for different models: Le Bourlot et al. (2012) in black, Chaabouni et al. (2012) in blue, and Leitch-Devlin & Williams (1985) in red for different dust temperatures TD = 10,20, 40, 80, 300 K for the dotted, solid, dashed, dot-dashed, and triple dot-dashed red lines respectively. The magenta line at α = 1/3 is our preferred value for unresolved gas densities (see Section 3.4).
Current usage metrics show cumulative count of Article Views (full-text article views including HTML views, PDF and ePub downloads, according to the available data) and Abstracts Views on Vision4Press platform.
Data correspond to usage on the plateform after 2015. The current usage metrics is available 48-96 hours after online publication and is updated daily on week days.
Initial download of the metrics may take a while.