Fig. 11

Download original image
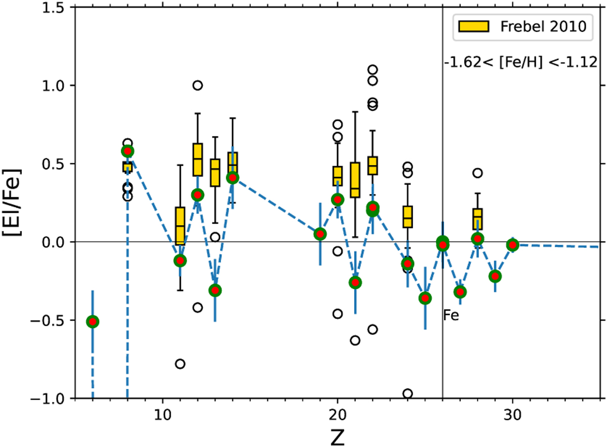
Observed abundances of HD 121135 are shown in comparison with the abundance distribution of stars with analogous metallicity (−1.62 ≳ [Fe/H] ≳ −1.12) by Frebel (2010). The rectangle boxes cover the observed values between 25% and 75% of all the data points, for elements with more than 15 observed stars. The median values of the models are also shown in the boxes. The error bars cover 1.5 times the range of the box plot. Any points outside the error bars (outliers) are shown as open circles.
Current usage metrics show cumulative count of Article Views (full-text article views including HTML views, PDF and ePub downloads, according to the available data) and Abstracts Views on Vision4Press platform.
Data correspond to usage on the plateform after 2015. The current usage metrics is available 48-96 hours after online publication and is updated daily on week days.
Initial download of the metrics may take a while.