Open Access
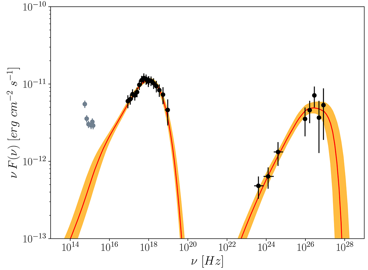
Fig. 4.

Download original image
Flux points with their errors (black) of RGB J0710+591 with 1σ credible intervals (orange) and the median (red) obtained from the model posterior. Gray points correspond to Swift/UVOT data.
Current usage metrics show cumulative count of Article Views (full-text article views including HTML views, PDF and ePub downloads, according to the available data) and Abstracts Views on Vision4Press platform.
Data correspond to usage on the plateform after 2015. The current usage metrics is available 48-96 hours after online publication and is updated daily on week days.
Initial download of the metrics may take a while.