Fig. 3

Download original image
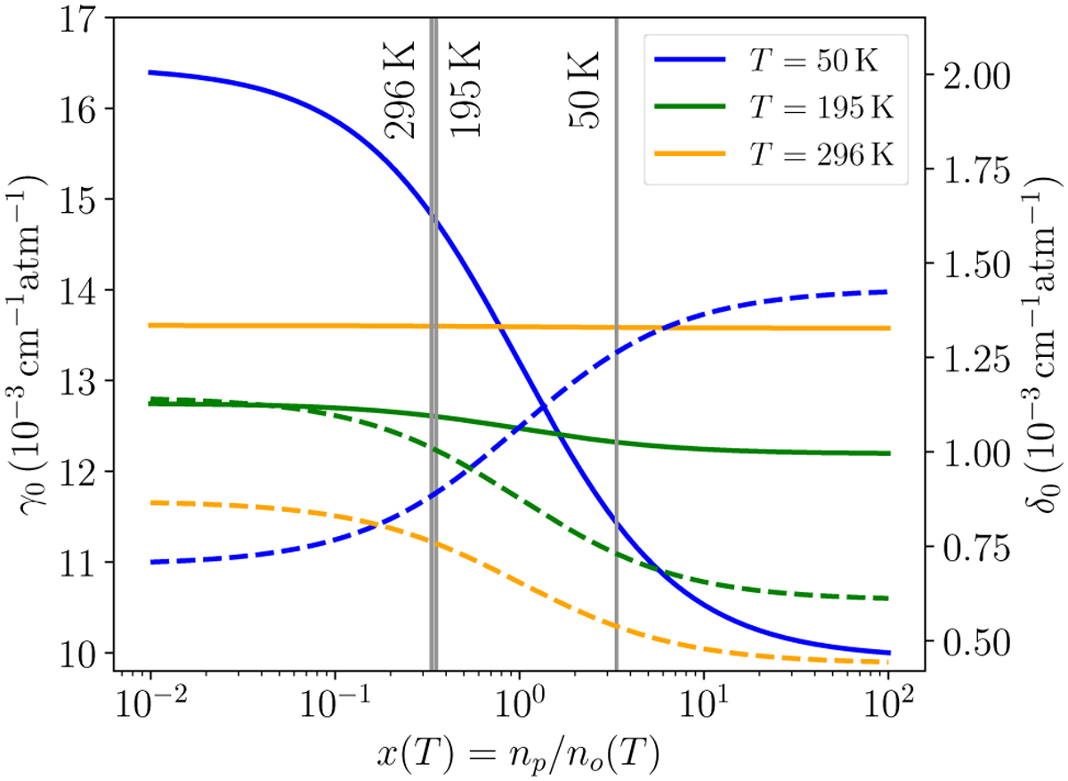
Dependence of pressure broadening, γ0 (solid lines), and shift, δ0 (dashed lines), on the spin isomer concentration ratio (x = np/no) for the H2-perturbed R(0) line in HD at different temperatures. The vertical gray lines correspond to the value of x for normal H2, x = 1/3, and xeq(T), as determined by the Boltzmann distribution at T = 50, 195, and 296 K.
Current usage metrics show cumulative count of Article Views (full-text article views including HTML views, PDF and ePub downloads, according to the available data) and Abstracts Views on Vision4Press platform.
Data correspond to usage on the plateform after 2015. The current usage metrics is available 48-96 hours after online publication and is updated daily on week days.
Initial download of the metrics may take a while.