Fig. E.1

Download original image
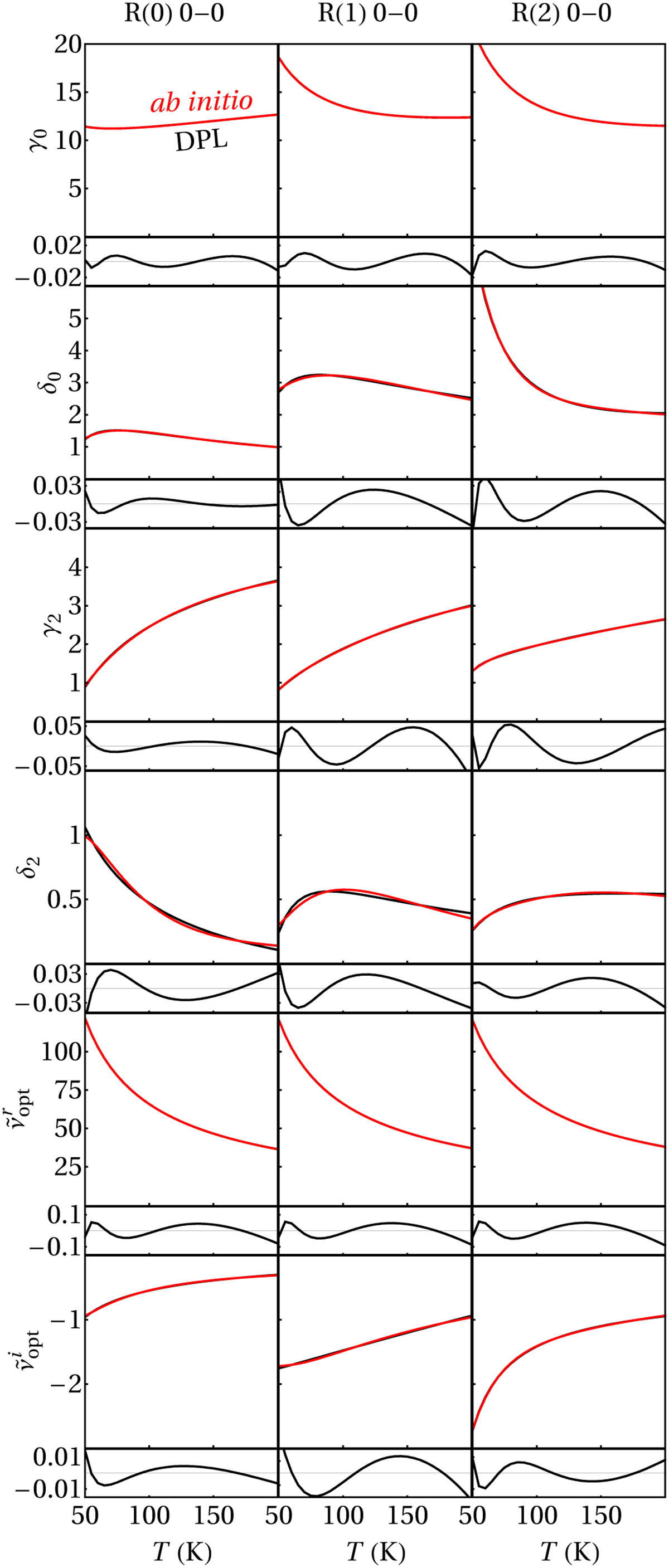
Temperature dependences of the six collisional line-shape parameters, γ0, δ0, γ2, δ2, , and
, of the R(0) 0-0, R(1) 0-0, and R(2) 0-0 lines of HD perturbed by H2. The red and black curves are the ab initio results and DPL approximations, respectively. The small panels show the residuals from the DPL fits. The vertical axes for all the panels (including residuals) are in [10−3 cm−1 atm−1.
Current usage metrics show cumulative count of Article Views (full-text article views including HTML views, PDF and ePub downloads, according to the available data) and Abstracts Views on Vision4Press platform.
Data correspond to usage on the plateform after 2015. The current usage metrics is available 48-96 hours after online publication and is updated daily on week days.
Initial download of the metrics may take a while.