Open Access
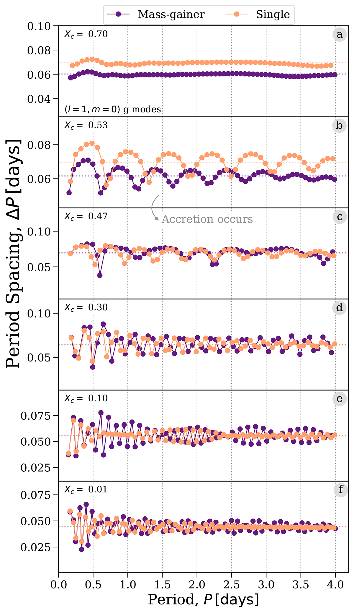
Fig. 5.

Download original image
Same as Fig. 2, but showing the period spacing patterns of the ℓ = 1, m = 0 g-modes. Asymptotic period spacings for each model are shown as dotted lines. The y-axis limits vary by panel. An interactive plot is available at https://www.tomwagg.com/html/interact/mass-gainer-asteroseismology.html#fig5.
Current usage metrics show cumulative count of Article Views (full-text article views including HTML views, PDF and ePub downloads, according to the available data) and Abstracts Views on Vision4Press platform.
Data correspond to usage on the plateform after 2015. The current usage metrics is available 48-96 hours after online publication and is updated daily on week days.
Initial download of the metrics may take a while.