Fig. 5.

Download original image
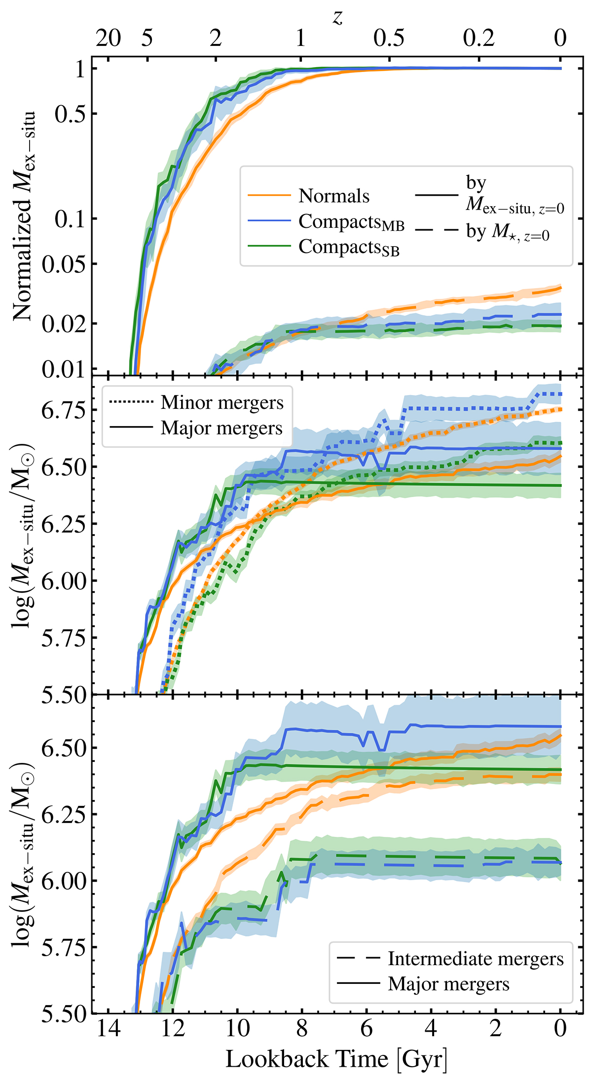
Same as Fig. 3, but for the median evolution of the ex situ stellar mass. Top: ex situ mass normalized by the final ex situ mass (solid) or final (ex situ + in situ) stellar mass (i.e., ex situ stellar mass fraction, dashed). All masses are measured over the entire subhalo. Center and bottom: ex-situ stellar mass from major mergers (stellar mass ratio > 1/4, solid lines), intermediate mergers (stellar mass ratio between 1/4 and 1/10, dashed lines), and minor mergers (stellar mass ratio below 1/10, dotted lines).
Current usage metrics show cumulative count of Article Views (full-text article views including HTML views, PDF and ePub downloads, according to the available data) and Abstracts Views on Vision4Press platform.
Data correspond to usage on the plateform after 2015. The current usage metrics is available 48-96 hours after online publication and is updated daily on week days.
Initial download of the metrics may take a while.