Fig. D.1

Download original image
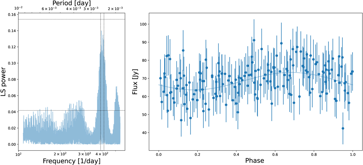
Periodicity search for WD J004917.14-252556.81. The search was performed on the UV light curve in a 40-second time binning, restricted to the time range between MJD 55104.57558-55106.78567. Left: Lomb Scargle periodogram. Dashed horizontal lines indicate the 2 and 3 σ confidence levels calculated using Baluev (2008). Vertical dotted lines indicate the periods previously found for this source (Kilic et al. 2023a). For more information, see the main text. Right: Phased light curve with the best-fit model (straight line).
Current usage metrics show cumulative count of Article Views (full-text article views including HTML views, PDF and ePub downloads, according to the available data) and Abstracts Views on Vision4Press platform.
Data correspond to usage on the plateform after 2015. The current usage metrics is available 48-96 hours after online publication and is updated daily on week days.
Initial download of the metrics may take a while.