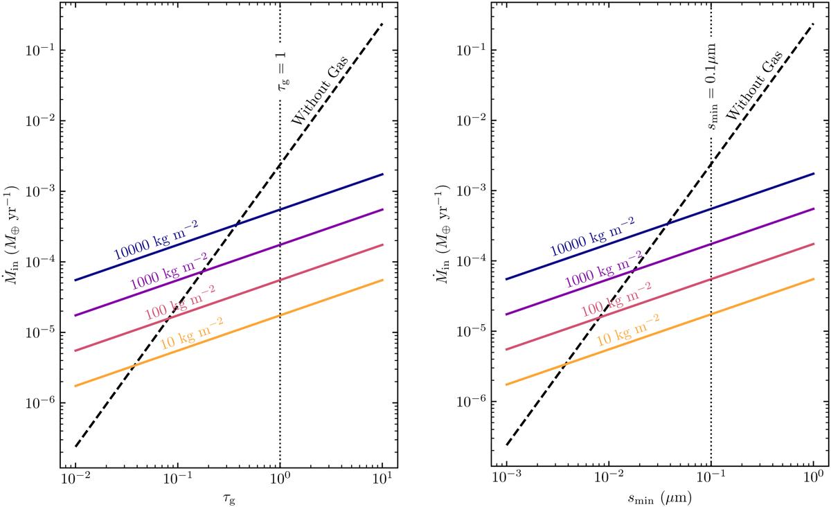
Fig. 3

Download original image
Required mass flux (in earth masses per year) against the cloud’s geometric optical depth τg (left panel). Both the case where there is no gas (solid line), as well as the one with gas (dashed lines) are given. The latter is plotted for different values of the gas surface density, ∑gas. In the right panel the required mass flux,
(in earth masses per year), is plotted against the size of the smallest particles, smin. Both the case where there is no gas (solid line), as well as the one with gas (dashed lines) are given. The latter is plotted for different values of the gas surface density, ∑gas.
Current usage metrics show cumulative count of Article Views (full-text article views including HTML views, PDF and ePub downloads, according to the available data) and Abstracts Views on Vision4Press platform.
Data correspond to usage on the plateform after 2015. The current usage metrics is available 48-96 hours after online publication and is updated daily on week days.
Initial download of the metrics may take a while.