Fig. 4

Download original image
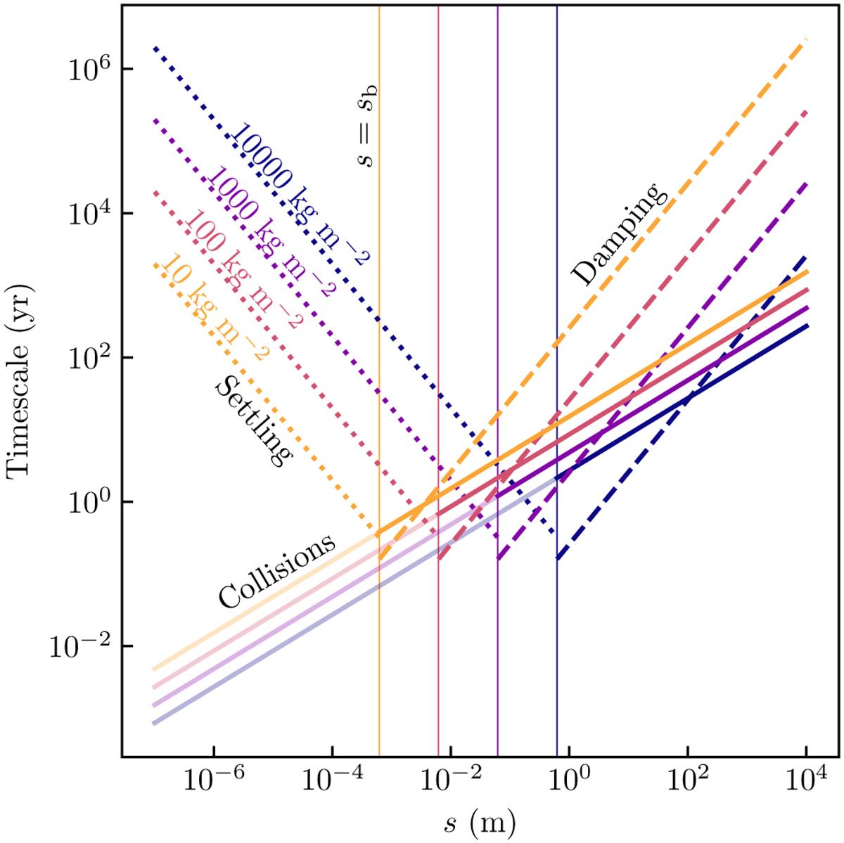
Settling (dotted lines), damping (dashed lines), and collisional (solid lines) timescales for different gas densities. The size below which damping becomes quicker than collisions becomes smaller with decreasing gas density. Small particles below sb (thin vertical lines) do not collide since they move with the gas, the settling which occurs instead is much slower.
Current usage metrics show cumulative count of Article Views (full-text article views including HTML views, PDF and ePub downloads, according to the available data) and Abstracts Views on Vision4Press platform.
Data correspond to usage on the plateform after 2015. The current usage metrics is available 48-96 hours after online publication and is updated daily on week days.
Initial download of the metrics may take a while.