Fig. 9.

Download original image
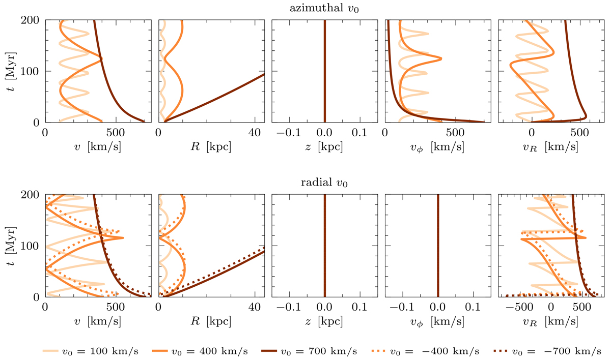
Trajectories of objects starting at R0 = Rd = 2.6 kpc that get an initial velocity (v0) either completely in the ϕ direction (top row) or in the R direction (bottom row). For each direction, we show the trajectories of v0 = 100 km s−1 (light orange), 400 km s−1 (orange), and 700 km s−1 (dark orange), and add –400 km s−1 (dotted orange) and –700 km s−1 (dotted dark orange) for the radial direction. The first column shows the galactocentric velocity (v), and the second and third column show the R and z positions of the objects, respectively. In the fourth column, we show the azimuthal velocity (vϕ) and in the fifth column we show the radial velocity (vR). The vertical velocity (vz) does not obtain non-zero values in these orbits.
Current usage metrics show cumulative count of Article Views (full-text article views including HTML views, PDF and ePub downloads, according to the available data) and Abstracts Views on Vision4Press platform.
Data correspond to usage on the plateform after 2015. The current usage metrics is available 48-96 hours after online publication and is updated daily on week days.
Initial download of the metrics may take a while.