Fig. 4

Download original image
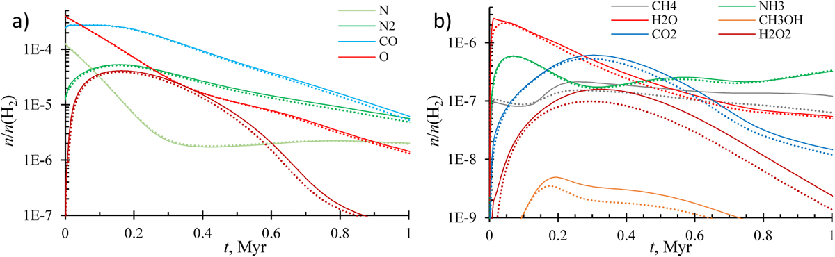
Calculated gas-phase chemical abundances in the cold core model. Panel a: relative abundances of major gas-phase species. Panel b: gas-phase abundances for important molecules that mostly originate from grain surfaces. In both panels, solid lines are for Model const with variable ED, while dotted lines are for Model const_noEd with an unchanging ED.
Current usage metrics show cumulative count of Article Views (full-text article views including HTML views, PDF and ePub downloads, according to the available data) and Abstracts Views on Vision4Press platform.
Data correspond to usage on the plateform after 2015. The current usage metrics is available 48-96 hours after online publication and is updated daily on week days.
Initial download of the metrics may take a while.