Open Access
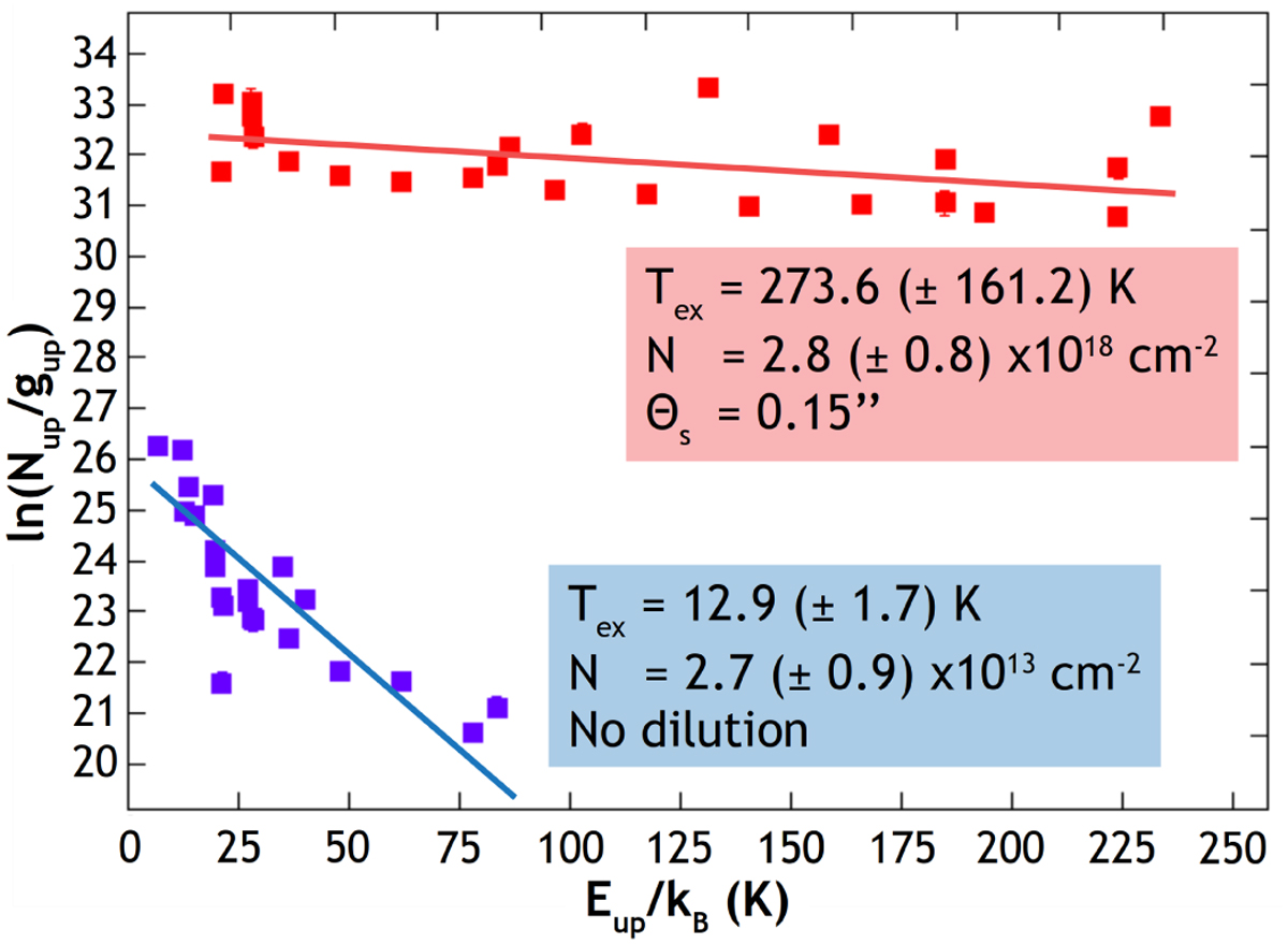
Fig. 7

Download original image
Rotational diagram for CH3OH. Blue points represent components peaking at the system velocity υlsr = 6.4 km s−1, for which we assume no beam dilution. Red points represent components peaking at 8.5 km s−1 for which we assume a 0.15″ emission region. The blue and red lines represent the linear regressions on those points.
Current usage metrics show cumulative count of Article Views (full-text article views including HTML views, PDF and ePub downloads, according to the available data) and Abstracts Views on Vision4Press platform.
Data correspond to usage on the plateform after 2015. The current usage metrics is available 48-96 hours after online publication and is updated daily on week days.
Initial download of the metrics may take a while.