Fig. 1

Download original image
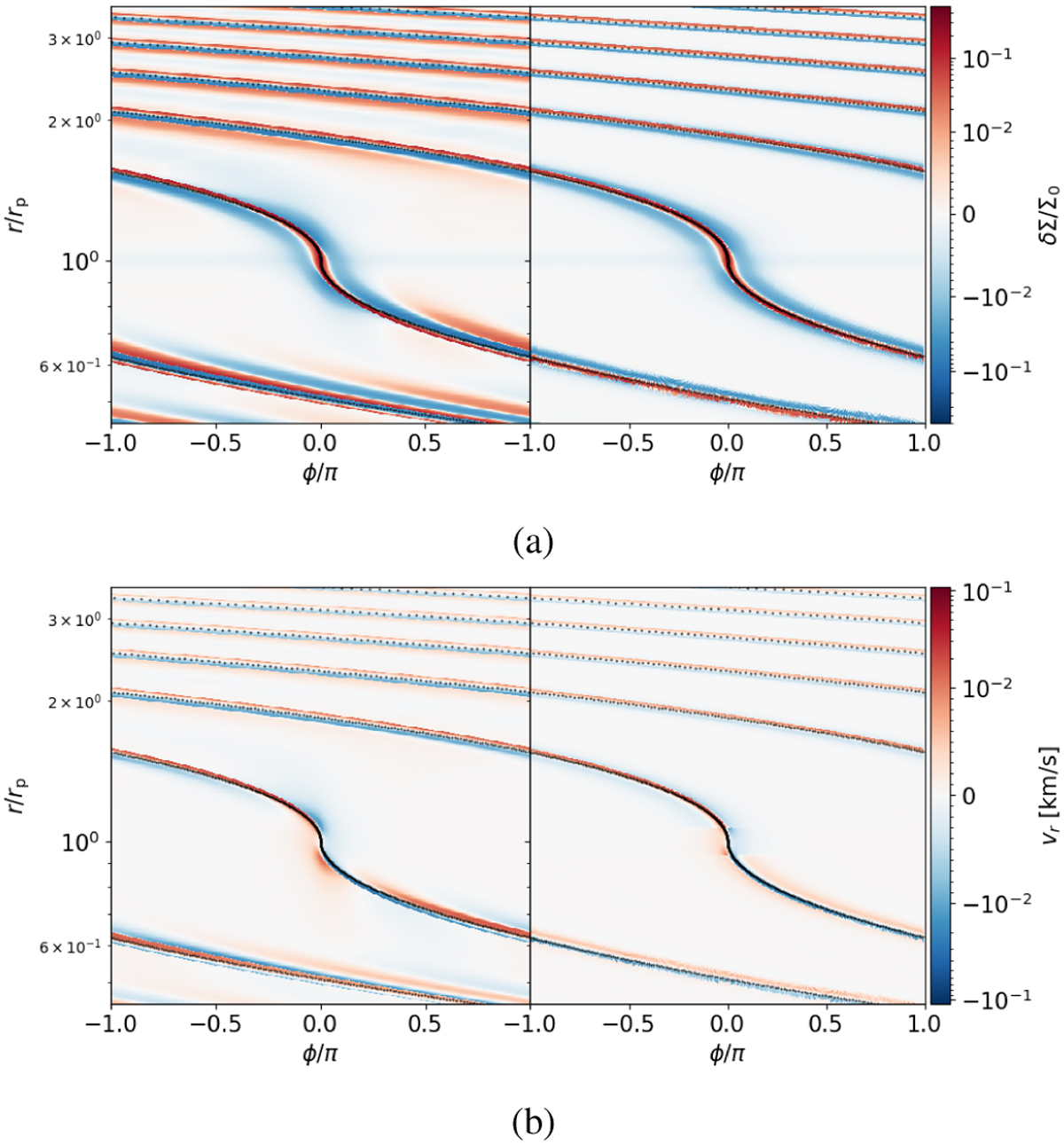
r–ϕ maps of the density (a) and radial velocity (b) perturbation fields from the simulation (left panel) and analytical model (right panel) in the Mp = 0.25 mth case. The black dotted line represents the linear wake (Eq. (11)). The color bar is logarithmic above 0.01 km s−1 and linear below it. For reference, the Keplerian speed at the planet location is vK = 3 km s−1.
Current usage metrics show cumulative count of Article Views (full-text article views including HTML views, PDF and ePub downloads, according to the available data) and Abstracts Views on Vision4Press platform.
Data correspond to usage on the plateform after 2015. The current usage metrics is available 48-96 hours after online publication and is updated daily on week days.
Initial download of the metrics may take a while.