Fig. 3.

Download original image
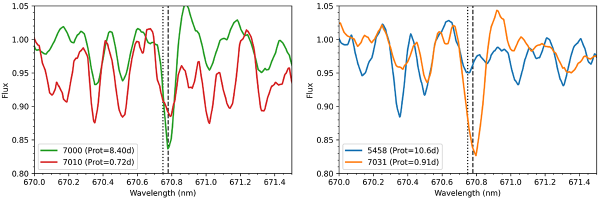
Blended feature around 670.78 nm for four K stars. Left: small region of the spectrum for two mid K stars with different rotation periods. Right: small region of the spectrum for two late K stars with different rotation periods. In both panels, the dashed black line shows the position of the Li doublet at 670.78 nm, while the dotted black line indicates the position of the Fe I line at 670.75 nm. Both features are blended independently of the spectral type and the rotation period of the star.
Current usage metrics show cumulative count of Article Views (full-text article views including HTML views, PDF and ePub downloads, according to the available data) and Abstracts Views on Vision4Press platform.
Data correspond to usage on the plateform after 2015. The current usage metrics is available 48-96 hours after online publication and is updated daily on week days.
Initial download of the metrics may take a while.