Open Access
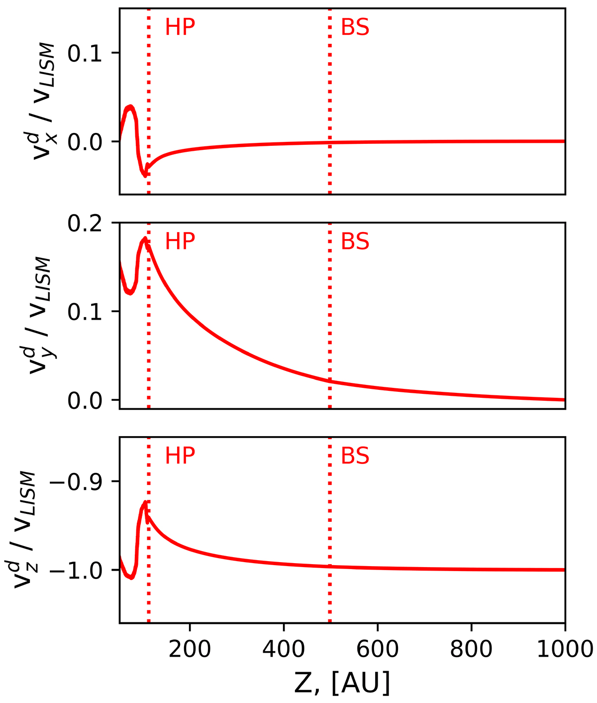
Fig. C.3.

Download original image
Velocity components along the trajectory of a typical a = 150 nm particle from the plane Z = 1000 AU up to the intersection with the plane Z = 50 AU. The vertical dotted red lines match the intersections with the heliopause and the weak interstellar bow shock.
Current usage metrics show cumulative count of Article Views (full-text article views including HTML views, PDF and ePub downloads, according to the available data) and Abstracts Views on Vision4Press platform.
Data correspond to usage on the plateform after 2015. The current usage metrics is available 48-96 hours after online publication and is updated daily on week days.
Initial download of the metrics may take a while.