Open Access
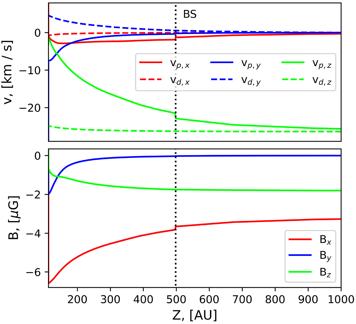
Fig. 4.

Download original image
Plasma (solid lines) and dust (dashed lines) velocity (top panel) and magnetic field (bottom panel) components along the trajectory of a typical a = 150 nm dust particle. The left boundary corresponds to the intersection with the heliopause (Z ≈ 112 AU). The vertical dotted black lines match the weak interstellar bow shock.
Current usage metrics show cumulative count of Article Views (full-text article views including HTML views, PDF and ePub downloads, according to the available data) and Abstracts Views on Vision4Press platform.
Data correspond to usage on the plateform after 2015. The current usage metrics is available 48-96 hours after online publication and is updated daily on week days.
Initial download of the metrics may take a while.