Open Access
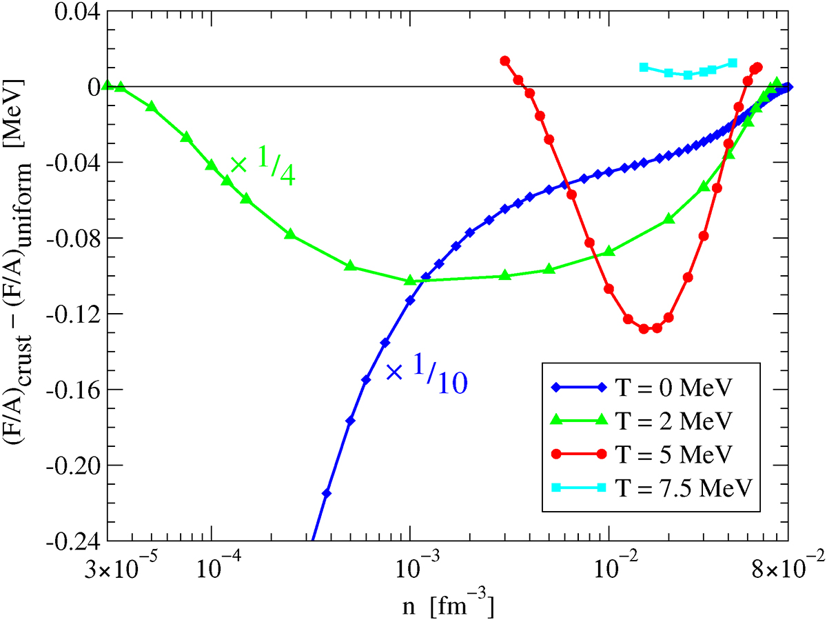
Fig. 2.

Download original image
Difference between the calculated free energy per particle of the clustered matter and of the uniform matter for T = 0, 2, 5, and 7.5 MeV. Notice that the T = 0 result is divided by a factor 10 and the T = 2 MeV result by a factor 4.
Current usage metrics show cumulative count of Article Views (full-text article views including HTML views, PDF and ePub downloads, according to the available data) and Abstracts Views on Vision4Press platform.
Data correspond to usage on the plateform after 2015. The current usage metrics is available 48-96 hours after online publication and is updated daily on week days.
Initial download of the metrics may take a while.