Open Access
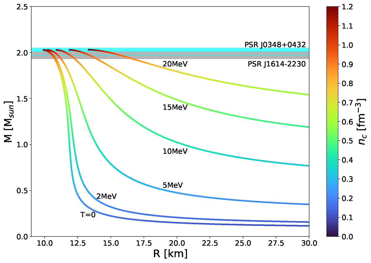
Fig. 5.

Download original image
Computed mass–radius relations of NSs with an isothermal profile at temperatures of T = 0, 2, 5, 15, and 20 MeV. The observational mass constraints are 1.97 ± 0.04 Msun (gray band) from the PSR J1614-2230 pulsar (Demorest et al. 2010) and 2.01 ± 0.04 Msun (cyan band) from the PSR J0348+0432 pulsar (Antoniadis et al. 2013).
Current usage metrics show cumulative count of Article Views (full-text article views including HTML views, PDF and ePub downloads, according to the available data) and Abstracts Views on Vision4Press platform.
Data correspond to usage on the plateform after 2015. The current usage metrics is available 48-96 hours after online publication and is updated daily on week days.
Initial download of the metrics may take a while.