Fig. B.3.

Download original image
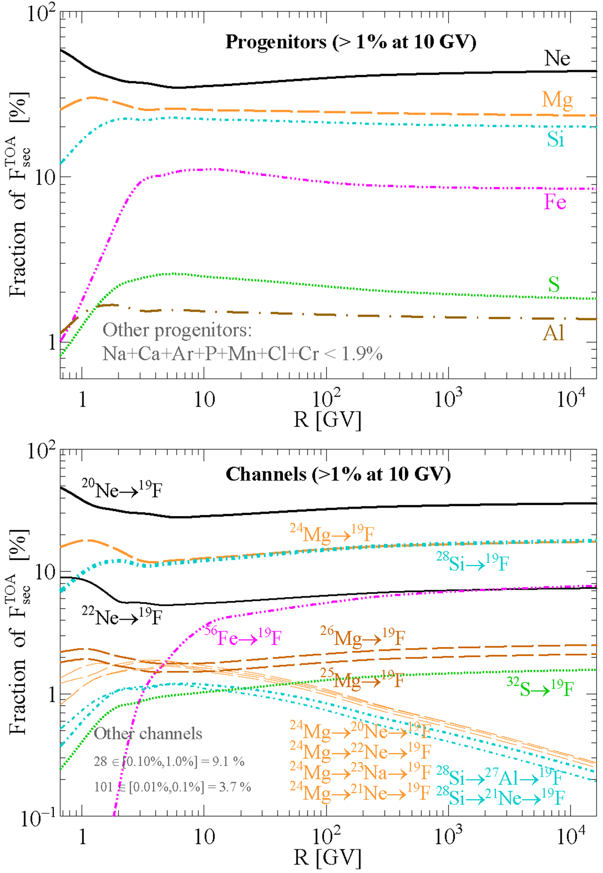
Fractional contributions larger than 1% to the total F production (modulated at 700 MV) as a function of rigidity. The top panel shows the ranking for CR element progenitors, while the bottom panel shows more details via the ranking of the one-step and two-step channels (reaction paths linking one isotopic progenitor to a CR isotope). The ‘>2’-step channels (not shown) contribute to a total of ∼10%, with about half of this number originating from the multi-step fragmentation of the Fe isotopes. In both plots, contributions starting from the same element share the same colours and line styles.
Current usage metrics show cumulative count of Article Views (full-text article views including HTML views, PDF and ePub downloads, according to the available data) and Abstracts Views on Vision4Press platform.
Data correspond to usage on the plateform after 2015. The current usage metrics is available 48-96 hours after online publication and is updated daily on week days.
Initial download of the metrics may take a while.