Open Access
Fig. 25

Download original image
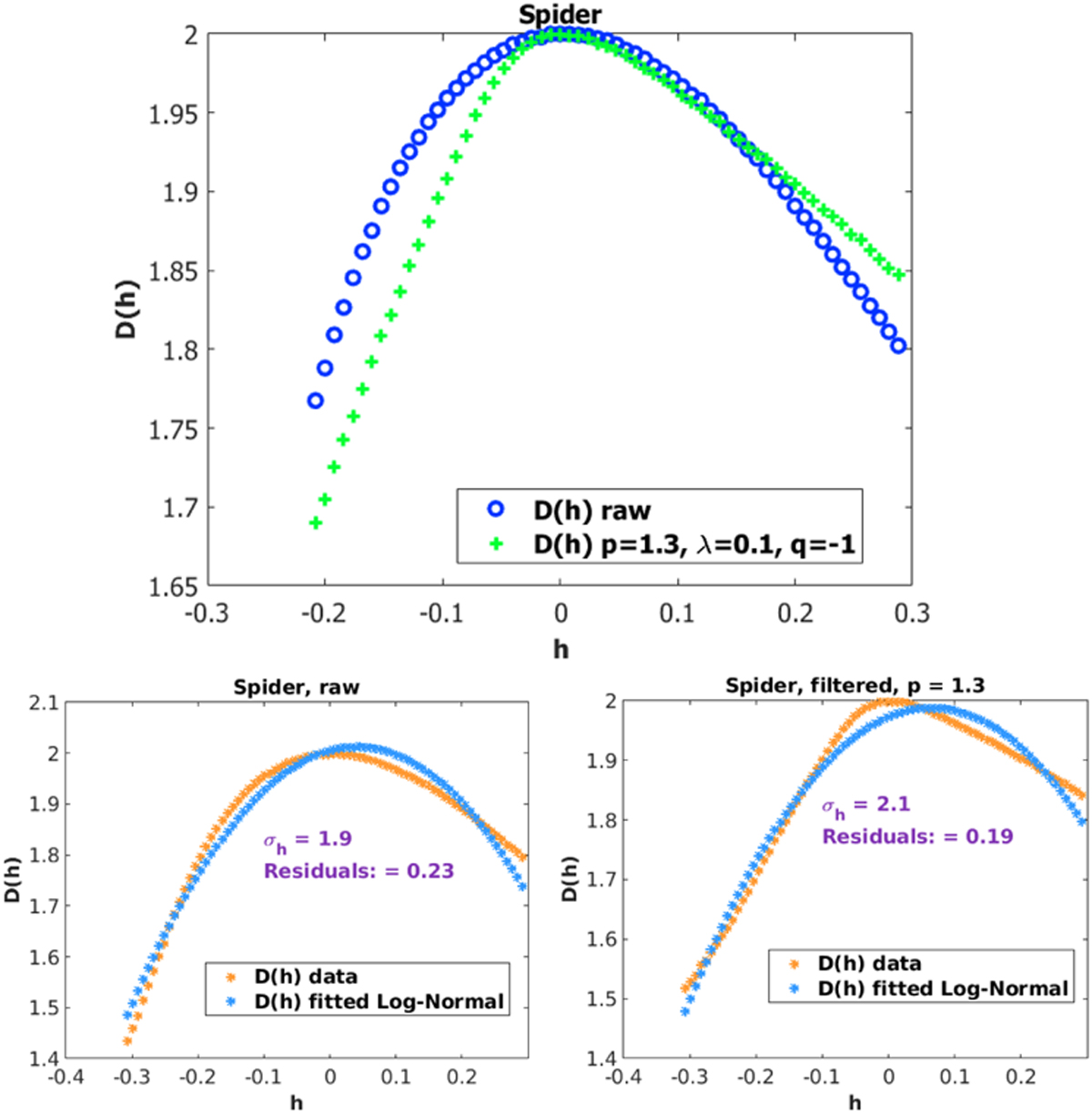
Noise reduction on Spider. Top: singularity spectra of Spider observation map with and without noise reduction. Botton left: log-normal fit to raw data. Botton right: log-normal fit after noise reduction: p = 1.3, q = −1, λ = 0.1.
Current usage metrics show cumulative count of Article Views (full-text article views including HTML views, PDF and ePub downloads, according to the available data) and Abstracts Views on Vision4Press platform.
Data correspond to usage on the plateform after 2015. The current usage metrics is available 48-96 hours after online publication and is updated daily on week days.
Initial download of the metrics may take a while.