Open Access
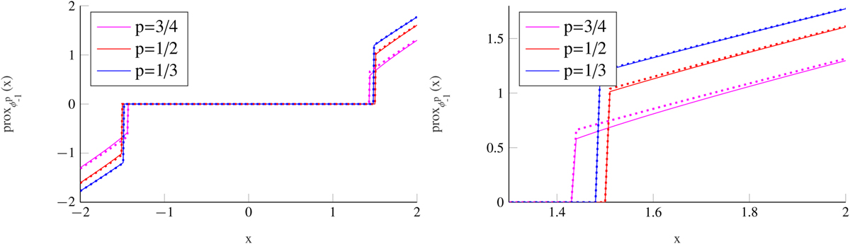
Fig. B.1

Download original image
Shrinkage thresholding operators. (Left) Exact and approximate proximal operator of with β = 1. The approximation is highly accurate in comparison to the exact solution. Only small variations can be observed around the threshold value. (Right) Zoom onto the threshold region.
Current usage metrics show cumulative count of Article Views (full-text article views including HTML views, PDF and ePub downloads, according to the available data) and Abstracts Views on Vision4Press platform.
Data correspond to usage on the plateform after 2015. The current usage metrics is available 48-96 hours after online publication and is updated daily on week days.
Initial download of the metrics may take a while.