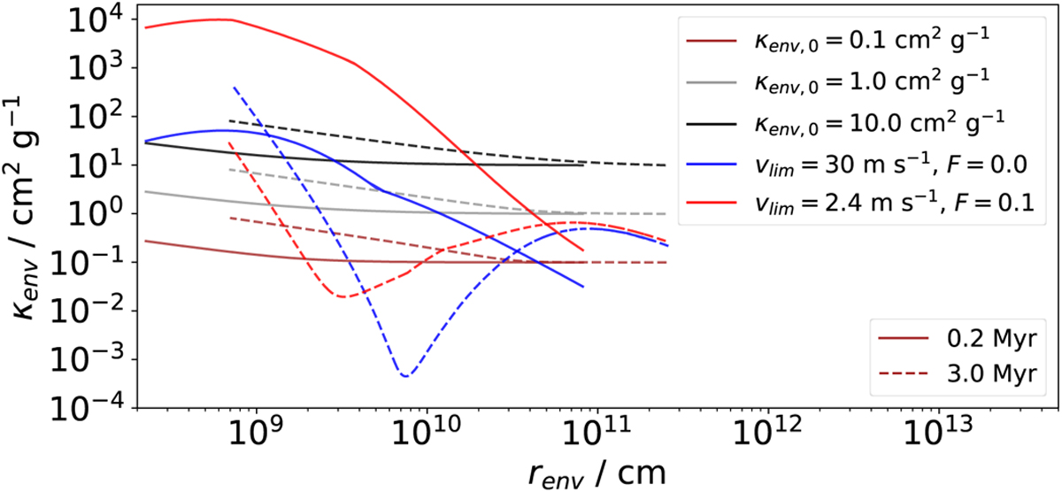
Fig. 2

Download original image
Brouwers opacity (Eq. (11)) and simple envelope opacity (Eq. (10)) as a function of the distance from the center of the planetary core at an early (solid line) and a late stage (dashed line) in the planet’s growth. We show the Brouwers opacity that arises when the default parameters of Brouwers et al. (2021) are used (vlim = 2.4 m s−1, F = 0.1), as well as an estimate of the lower limit of the envelope opacity (vlim = 30.0 m s−1, F = 0). The simple opacity is shown for three different opacity scaling factors κenv,0. The migration of the planet is suppressed, the growth of the planet initiates at t0 = 0.1 Myr, and the disk lifetime is 3 Myr. The incoming pebble flux is fixed to 0.6 M⊕ Myr−1, but can still be lowered by volatile recycling in the planetary envelope. Apart from that, we use our standard parameters (see Table A.2). After 0.2 Myr (3.0 Myr), the planets have a mass of about 0.05 M⊕ (1.5 M⊕).
Current usage metrics show cumulative count of Article Views (full-text article views including HTML views, PDF and ePub downloads, according to the available data) and Abstracts Views on Vision4Press platform.
Data correspond to usage on the plateform after 2015. The current usage metrics is available 48-96 hours after online publication and is updated daily on week days.
Initial download of the metrics may take a while.