Fig. 4

Download original image
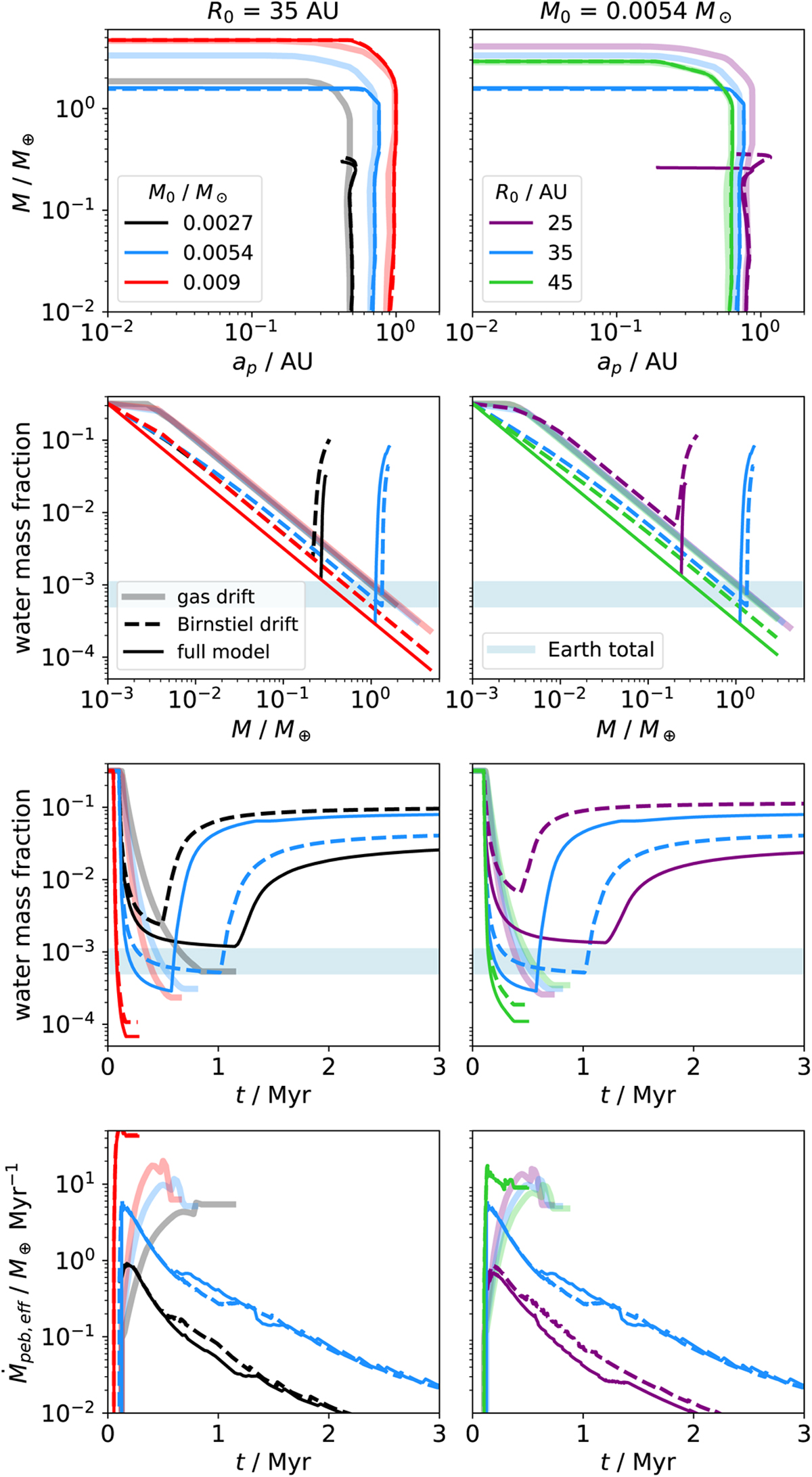
Comparison of planets growing in a disk with gas-sensitive pebbles (similar to Johansen et al. 2021; transparent lines) and a disk in which the pebbles follow the Birnstiel pebble drift (dashed lines) for different initial disk masses. The transparent lines are the same as the transparent lines shown in Fig. 3. For these two sets of simulations (transparent and dashed lines), we use the simple envelope opacity model with κenv,0 = 0.1 cm2 g−1 (see Eq. (10)). In addition, we show simulations using our full model as solid lines. In our full model, the planets grow in a disk with pebbles drifting according to the Birnstiel pebble drift model while considering the Brouwers opacity model with vlim = 30.0 m s−1 and F = 0.0 (see Eq. (11)). The layout of the plot and the other simulation parameters are similar to Fig. 3.
Current usage metrics show cumulative count of Article Views (full-text article views including HTML views, PDF and ePub downloads, according to the available data) and Abstracts Views on Vision4Press platform.
Data correspond to usage on the plateform after 2015. The current usage metrics is available 48-96 hours after online publication and is updated daily on week days.
Initial download of the metrics may take a while.