Fig. 1

Download original image
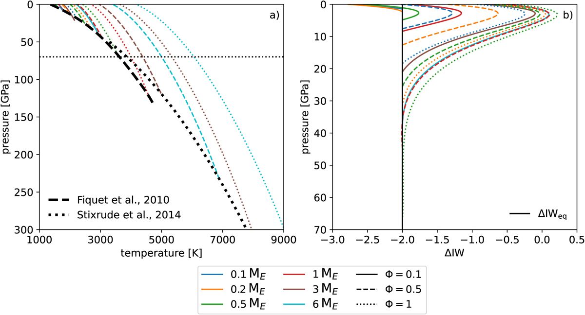
Vertical profiles of temperature (a) and (noted as the log-unit difference from the IW buffer), (b) through the MO for all Mp and Φ, for ΔIWeq = −2. The thick dashed and dotted black lines in panel a correspond to the solidus from Fiquet et al. (2010; used for Earth and sub-Earth-mass planets), and the solidus from Stixrude (2014; used for super-Earth-mass planets), respectively. The solidus defines the temperature reached at the bottom of the MO. The thin dotted black line corresponds to the maximum pressure in panel b. The solid vertical line in panel b corresponds to ΔIWeq = −2, which is the value reached at the bottom of the MO. The profile of ΔIW for cases with ΔIWeq = 0 (ΔIWeq = −5) are offset by 2 (−3) log-units on the x-axis of panel b.
Current usage metrics show cumulative count of Article Views (full-text article views including HTML views, PDF and ePub downloads, according to the available data) and Abstracts Views on Vision4Press platform.
Data correspond to usage on the plateform after 2015. The current usage metrics is available 48-96 hours after online publication and is updated daily on week days.
Initial download of the metrics may take a while.