Fig. 5.

Download original image
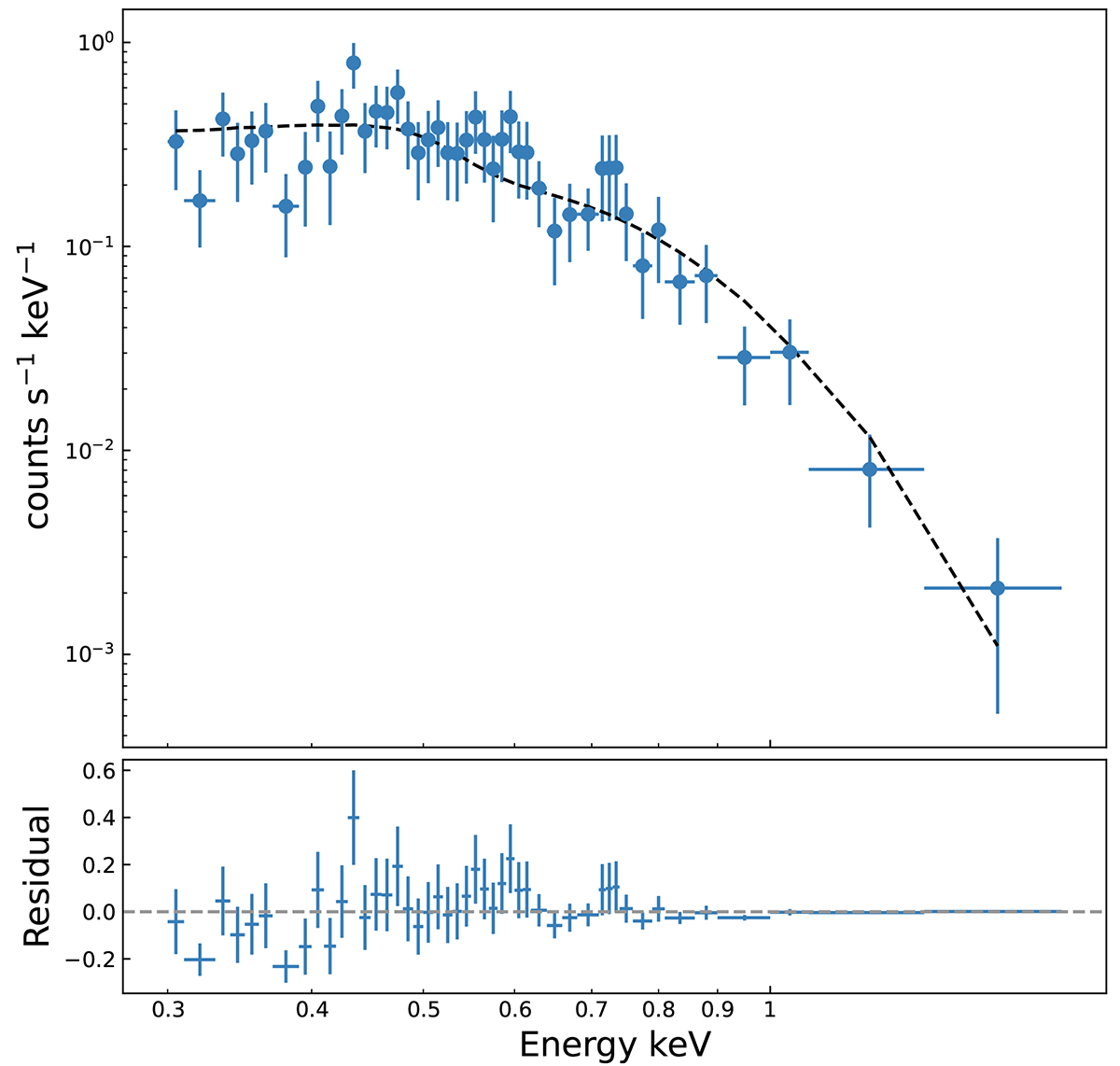
Swift/XRT spectrum of the source detected at a distance of from the nucleus of SDSS1335+0728, obtained on February 4, 2024. Top: the blue circles show the data, and the black dashed line shows the black body model with kT = 104 ± 9 eV. Bottom: residual of the modelling (the difference between the original spectrum and the fit).
Current usage metrics show cumulative count of Article Views (full-text article views including HTML views, PDF and ePub downloads, according to the available data) and Abstracts Views on Vision4Press platform.
Data correspond to usage on the plateform after 2015. The current usage metrics is available 48-96 hours after online publication and is updated daily on week days.
Initial download of the metrics may take a while.