Open Access
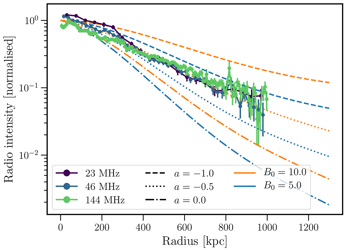
Fig. 13.

Download original image
Observed (points) and modelled (lines) radio halo synchrotron intensity profiles in Abell 2256. The parameter B0 denotes the central magnetic field strength, and a the proportionality between cosmic ray energy density and thermal energy density. The details of the models are explained in Sect. 4.1.
Current usage metrics show cumulative count of Article Views (full-text article views including HTML views, PDF and ePub downloads, according to the available data) and Abstracts Views on Vision4Press platform.
Data correspond to usage on the plateform after 2015. The current usage metrics is available 48-96 hours after online publication and is updated daily on week days.
Initial download of the metrics may take a while.