Open Access
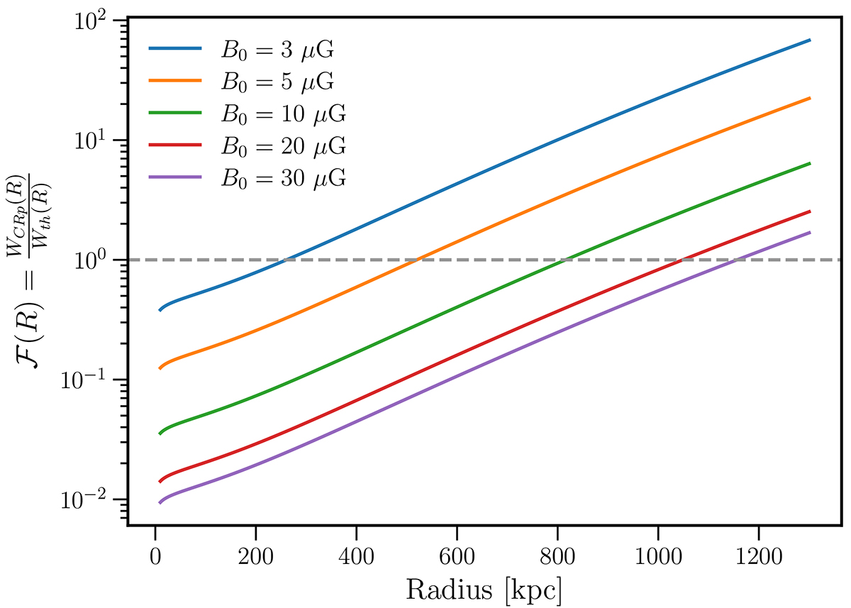
Fig. 14.

Download original image
Required fractional energy density of cosmic ray protons with respect to the thermal protons as a function of radius to match the radio observations of the radio halo in Abell 2256 with hadronic models that have different central magnetic field strengths.
Current usage metrics show cumulative count of Article Views (full-text article views including HTML views, PDF and ePub downloads, according to the available data) and Abstracts Views on Vision4Press platform.
Data correspond to usage on the plateform after 2015. The current usage metrics is available 48-96 hours after online publication and is updated daily on week days.
Initial download of the metrics may take a while.