Open Access
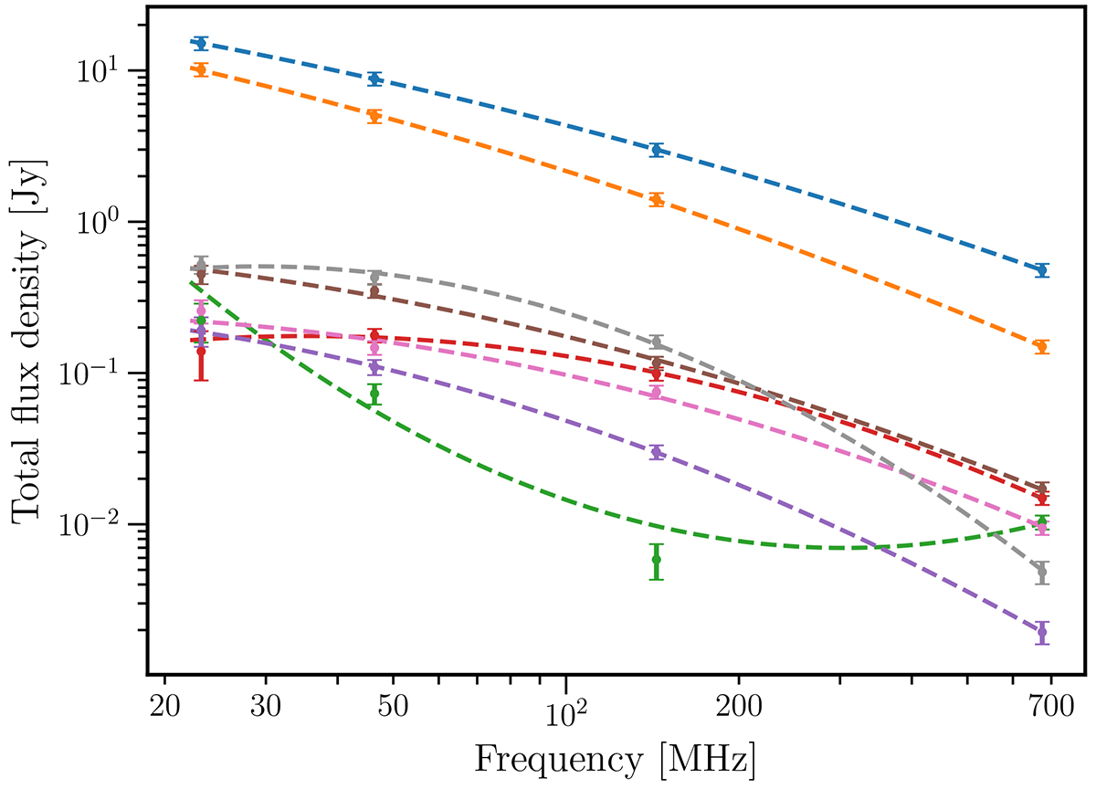
Fig. A.1.

Download original image
Flux density measurements at LOFAR LBA, HBA and uGMRT (675 MHz) frequencies with a best-fit polynomial in logspace shown. Most error bars are dominated by the assumed 10% absolute flux density scale error.
Current usage metrics show cumulative count of Article Views (full-text article views including HTML views, PDF and ePub downloads, according to the available data) and Abstracts Views on Vision4Press platform.
Data correspond to usage on the plateform after 2015. The current usage metrics is available 48-96 hours after online publication and is updated daily on week days.
Initial download of the metrics may take a while.