Fig. F.1

Download original image
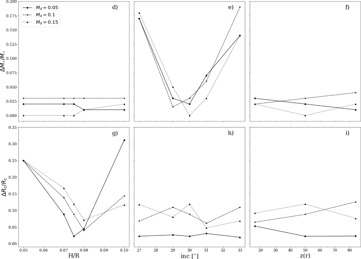
Uncertainties related to the fitting procedure for the mass of the star M* (top row) and the disc truncation radius Rc (bottom row). Estimates are given as functions of the aspect ratio of the disc H/R (left column), the disc inclination (middle column), and the disc emitting layer z(R) (right column). Different markers and lines styles represent results obtained for simulations with different disc masses.
Current usage metrics show cumulative count of Article Views (full-text article views including HTML views, PDF and ePub downloads, according to the available data) and Abstracts Views on Vision4Press platform.
Data correspond to usage on the plateform after 2015. The current usage metrics is available 48-96 hours after online publication and is updated daily on week days.
Initial download of the metrics may take a while.