Open Access
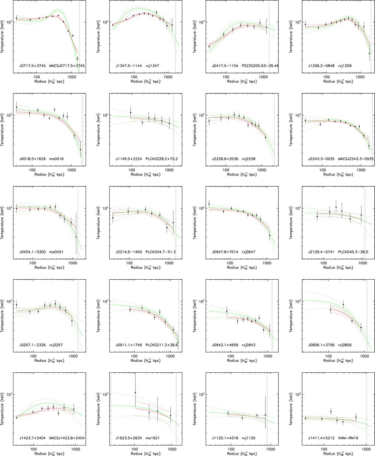
Fig. B.1.

Download original image
Individual temperature profiles of the EXCPReS sample. Black points with error bars show the annular temperature measurements. Green lines show the best fitting 3D temperature model. Red lines show the 2D reprojection of the best fitting 3D model. The model uncertainties are indicated by dashed lines.
Current usage metrics show cumulative count of Article Views (full-text article views including HTML views, PDF and ePub downloads, according to the available data) and Abstracts Views on Vision4Press platform.
Data correspond to usage on the plateform after 2015. The current usage metrics is available 48-96 hours after online publication and is updated daily on week days.
Initial download of the metrics may take a while.