Open Access

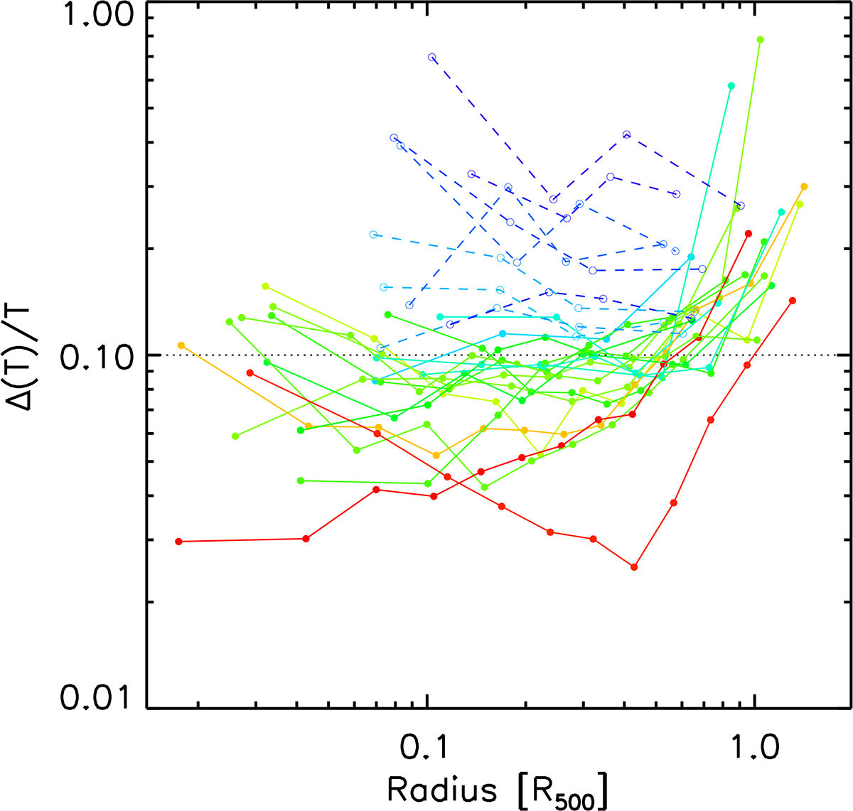
Fig. 8.

image

Download original image

Relative uncertainty on the temperature as a function of scaled radius, for the profiles defined with 30σ scientific S/N goal (Table 3). The profiles are colour coded as a function of the total S/N in the soft-band (Table 1), from blue (low S/N) to red (high S/N).

Current usage metrics show cumulative count of Article Views (full-text article views including HTML views, PDF and ePub downloads, according to the available data) and Abstracts Views on Vision4Press platform.

Data correspond to usage on the plateform after 2015. The current usage metrics is available 48-96 hours after online publication and is updated daily on week days.

Initial download of the metrics may take a while.