Fig. 3

Download original image
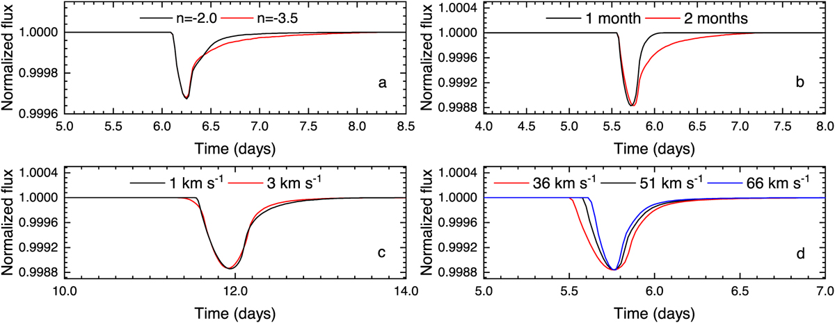
Dependence of the transit profile on the input parameters of the coma model listed in Table 2. In all cases, the comet passes through the center of the star’s disk (impact parameter b = 0). Panel a: transit of comet 1P/Halley (the index of the differential particle size distribution (n) changes, other parameters are fixed at: T =1 month; amin = 0.1 µm and amax = 20.0 µm; υd = 1.0 km s−1; υtang = 67.0 km s−1.) Panel b: transit of comet C/1995 O1 (the time of tail formation T changes, other parameters are fixed at: amin = 0.1 µm and amax = 20.0 µm; n = 3.5; υd = 1.0 km s−1; υtang = 51.0 km s−1.) Panel c: transit of comet C/1995 O1 (the particle terminal velocity υd changes, other parameters are fixed at: T = 4 yr; amin = 5.0 µm and amax = 999.0 µm; n = 3.5; υtang = 22.7 km s−1). Panel d: transit of comet C/1995 O1 (the tangential velocity changes, other parameters are fixed at: T = 2 months; amin = 0.1 µm and amax = 20.0 µm; n = 2; υd = 3.0 km s−1).
Current usage metrics show cumulative count of Article Views (full-text article views including HTML views, PDF and ePub downloads, according to the available data) and Abstracts Views on Vision4Press platform.
Data correspond to usage on the plateform after 2015. The current usage metrics is available 48-96 hours after online publication and is updated daily on week days.
Initial download of the metrics may take a while.