Fig. D.4

Download original image
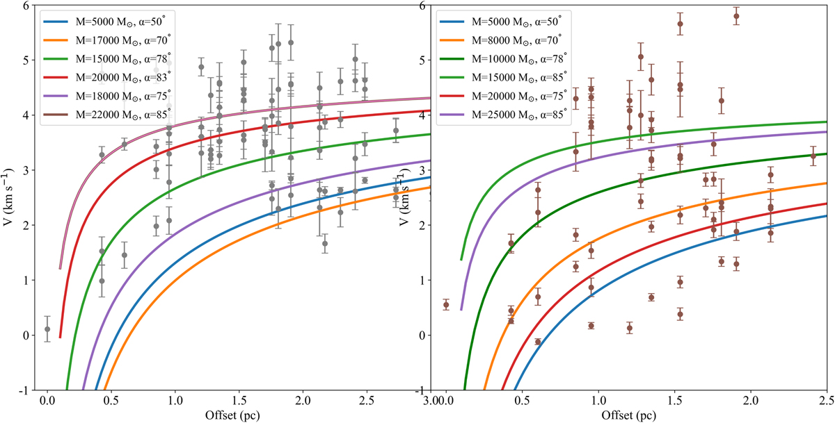
Gravitational collapse of dense clumps in the hub. According to Eqs. (6) and (7), to test whether the two dense clumps (LC 1 and LC 2) in the B-S HFS are in a state of gravitational collapse, we examined their velocity distributions with radius. Left panel: Velocity distribution with radius in LC 1 (l0 = 43.17°, b0 = 0.00°), with a fitted curve yielding a systemic velocity of 5.0 km s−1. Based on the integral intensity weighted by the B-S component, we estimated the clump mass to be approximately 17997 M⊙, with the best-fit result at 15000 M⊙, and an inclination angle of 78° for the plane of the sky. Right panel: Velocity distribution with radius in LC 2 (l0 = 43.17°, b0 = −0.00°), with a fitted curve yielding a systemic velocity of 4.5 km s−1. Based on the integral intensity weighted by the B-S component, we estimate the clump mass to be approximately 9098 M⊙, with the best-fit result at 10000 M⊙, and an inclination angle of 78° concerning the plane of the sky.
Current usage metrics show cumulative count of Article Views (full-text article views including HTML views, PDF and ePub downloads, according to the available data) and Abstracts Views on Vision4Press platform.
Data correspond to usage on the plateform after 2015. The current usage metrics is available 48-96 hours after online publication and is updated daily on week days.
Initial download of the metrics may take a while.