Open Access
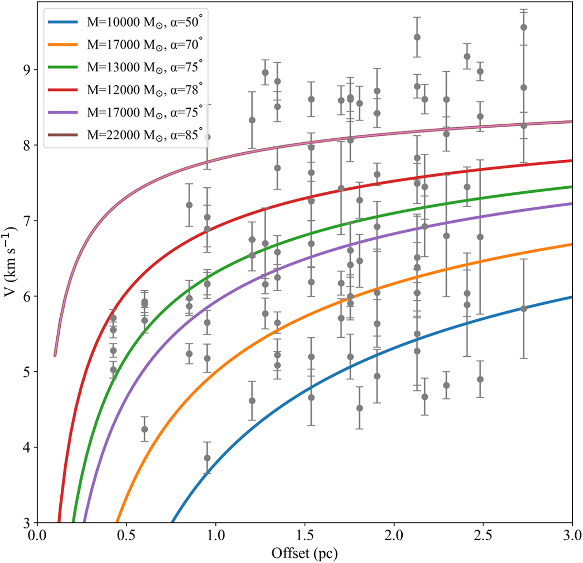
Fig. 6

Download original image
Gas velocity structure as a function of the distance to the center of Clump 3 (l0 = 43.23°, b0 = −0.05°). Different fitted lines describe the expected velocity profile for a free-falling particle into potential wells with different masses, M, and observed at different angles, α, following Eq. (7).
Current usage metrics show cumulative count of Article Views (full-text article views including HTML views, PDF and ePub downloads, according to the available data) and Abstracts Views on Vision4Press platform.
Data correspond to usage on the plateform after 2015. The current usage metrics is available 48-96 hours after online publication and is updated daily on week days.
Initial download of the metrics may take a while.