Fig. 21

Download original image
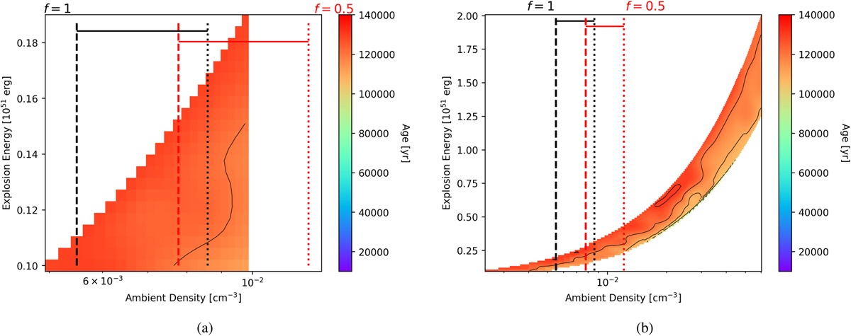
SNR model parameters for the Monogem Ring SNR. We assumed a radius of 58 pc at D = 300 pc. The estimated uncertainty on the radius is 10%. The color scale indicates the calculated age of the respective model. The vertical dashed and dotted lines show the ambient ISM density n0 lower and upper limits, respectively, for different filling factors. The density n0 was inferred from the spectral analysis for D = 300 pc. The black dashed and dotted lines show n0 for f = 1, while the red lines show n0 for f = 0.5. Models with predicted radii and X-ray temperatures outside the derived confidence intervals are not shown. The SNR evolutionary models are Sedov-Taylor (a) and Cloudy ISM (b) for τ = 2 (Leahy et al. 2017). The color scale for the age is in absolute values for better comparability with the other SNRs. The black solid contours on top of the surface plot denote different levels of the age in steps of 10 000 yr, similar to the color scale shown on the right.
Current usage metrics show cumulative count of Article Views (full-text article views including HTML views, PDF and ePub downloads, according to the available data) and Abstracts Views on Vision4Press platform.
Data correspond to usage on the plateform after 2015. The current usage metrics is available 48-96 hours after online publication and is updated daily on week days.
Initial download of the metrics may take a while.